4点を通る球 ~具体例~

4点を通る球の方程式
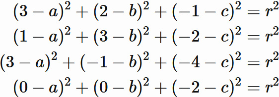
与えられた 4 点
$$ \tag{1} $$ を通る球の方程式は、
である。
解答例
  球の中心を $(a, b, c)$、半径を $r$ と表すとき、球の方程式は、
$$ \tag{2} $$ である。 これらが4点 $(1)$ を通る場合、
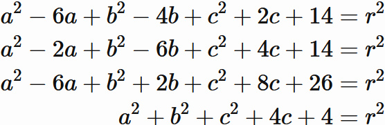
が成り立つ。 左辺を展開して整理すると、
$$ \tag{3} $$ である。 第1式から第2式を引いた式、第2式から第3式を引いた式、および、第3式から第4式を引いた式は、それぞれ
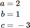
である。 これらから、$a, b, c$ を求めると、
である。 $a, b, c$ の値を $(2)$ にすると、$r^{2}$ が
と求まる。 以上の結果を $(1)$ に代入すると、球の方程式が求まる。 すなわち、
である。