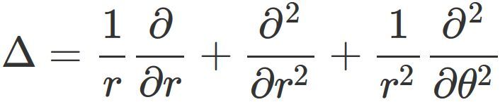
2次元のラプラシアンを極座標で表す方法

2次元のラプラシアンは、極座標系では、
極座標で表した2次元のラプラシアン
と表される。


  証明

 
準備
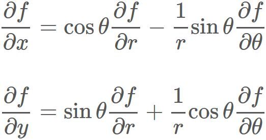
  準備として、合成関数の微分に関する一般論を先に述べる。
  $r$ と $\theta$ が $x, y$ の関数として、
と表されているとき、合成関数
の $x, y$ に関する偏微分は、それぞれ
である。 これを合成関数の連鎖律という。
  $(1)$ が成立するためには、 関数 $f$ が 全微分可能などの幾つかの条件を満たす必要があるが、 ここでは、そういった条件が満たされているものとする。
極座標のラプラシアン
  極座標 $(r, \theta)$ で表されている関数 $f(r ,\theta)$ に作用するラプラシアン $ \Delta f(r, \theta) $ の極座標系での具体的な表現を求める。
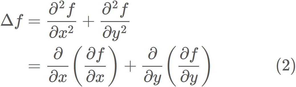
  2次元のラプラシアンは、デカルト座標 $(x, y)$ によって、
と定義される。 これより、
である。
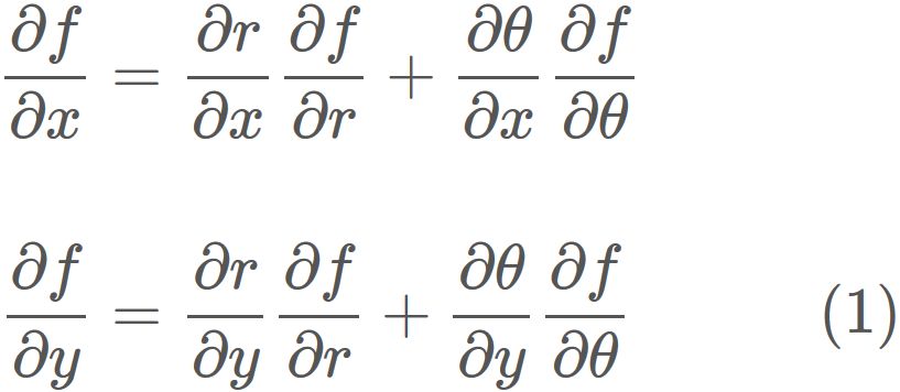
  この式に含まれる 1 階の微分は、 合成関数の連鎖律 $(1)$ から、
である。 この中の偏微分 $\frac{\partial r}{\partial x}, \frac{\partial \theta}{\partial x}, \frac{\partial r}{\partial y}, \frac{\partial \theta}{\partial y}$ は、 極座標とデカルト座標 $(x, y)$ との対応関係
 2次元の極座標
を用いると次のようの求められる。
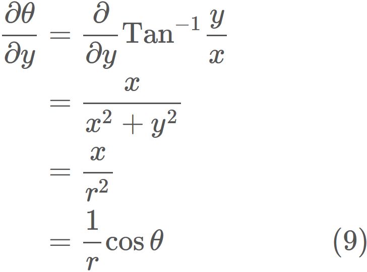
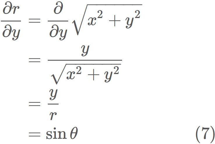
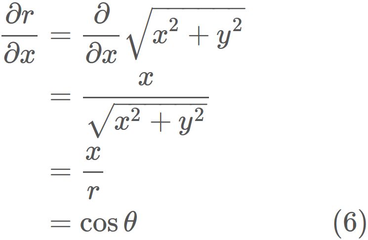
  まず、$(4)$ から
であるので、
と、
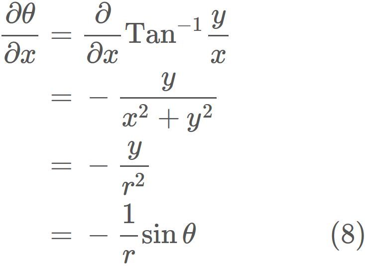
を得る。 また、$(4)$ から、
であるので、
を得る。 ここで、 逆三角関数の微分が
となることを用いた。
  以上の $(6) (7) (8) (9)$ を $(3)$ に代入すると、
となる。
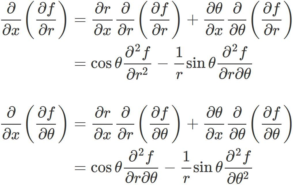
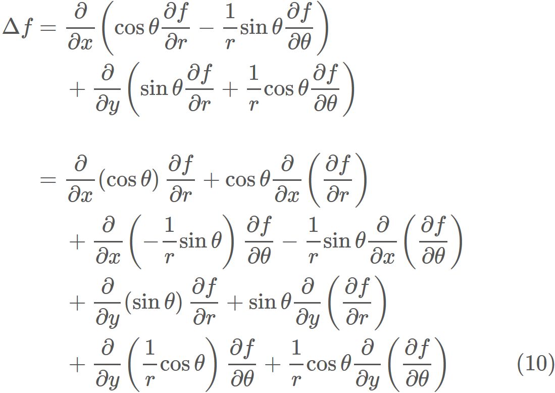
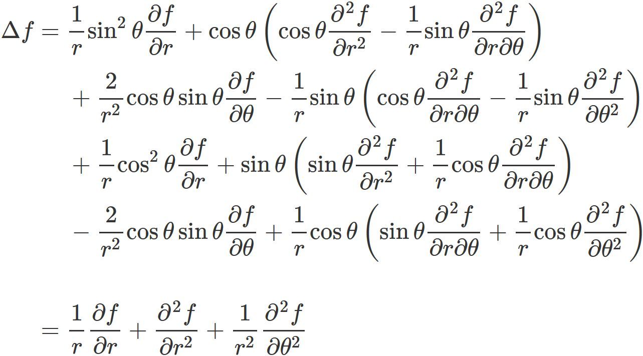
  これらを $(2)$ に代入し、 積の微分のルールに従って書き直すと、
である。
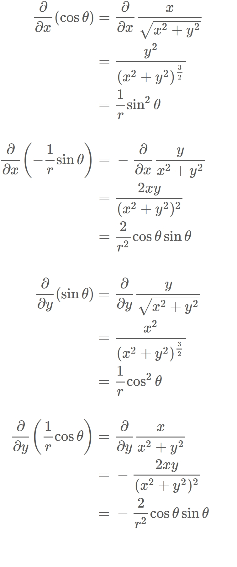
  この式で現れた個々の微分を計算して行くと、 まず $(4)$ と $(5)$ から
である。 また、 合成関数の連鎖率 $(1)$ と $(6)$ $(8)$ から、
であり、同様に $(7)$ $(9)$ から、
である。
  以上の結果を$(10)$に代入し、 整理すると、
を得る。