極座標 で表したラプラシアンの導出  

  極座標で表したラプラシアンは、
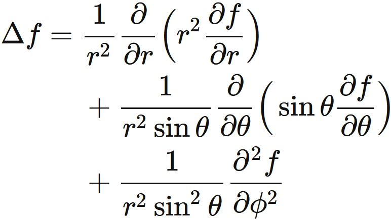
極座標のラプラシアン
である。

  証明

  ラプラシアンの定義は、
ラプラシアンの定義
である。
  ここで $(x,y,z)$ はデカルト座標である。 この定義を出発点とし、 ラプラシアンの極座標系による表現を求める。
  $f$ を極座標 $(r, \theta, \phi)$ の関数とする。 すなわち、
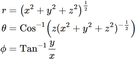
とする。 デカルト座標と極座標の間には、
の関係があり、これより 、
が成り立つ。 このように極座標はデカルト座標の関数であるので、 極座標の関数 $f$ は、 その極座標がデカルト座標の関数であるという合成関数である。 すなわち、
と表される合成関数である。
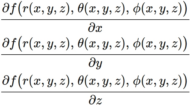
  したがって、 合成関数の微分の連鎖率(チェーンルール)を用いると、 $f$ のデカルト座標による偏微分は、
と表される。
  同様に、 ここで表された3つの微分もまた極座標の関数であり、 その極座標がデカルト座標の関数であるという合成関数である。 すなわち、
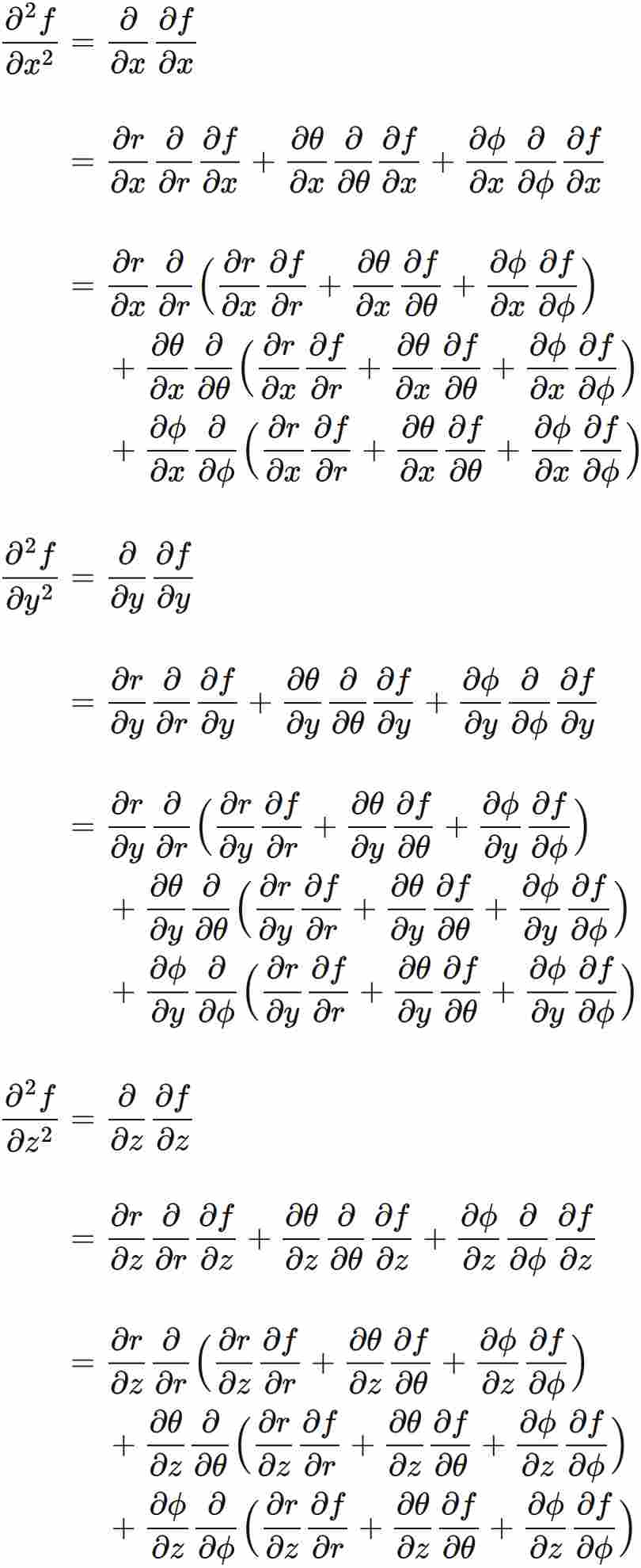
と表される合成関数である。 したがって、 再び合成関数の微分の連鎖率(チェーンルール)を用いると、 二階の偏微分が
と表される。
  これらより、ラプラシアン $(1)$ は、
と表される。
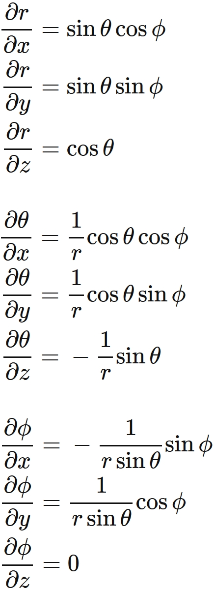
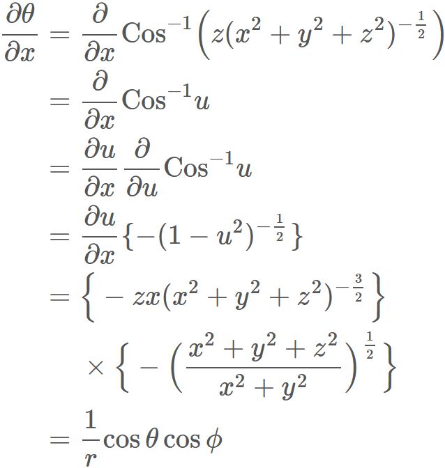
  この式に含まれる極座標のデカルト座標による偏微分は、 $(2)$ から
と求められる (導出方法に関してはページ下部の補足を参考)。 これらを代入すると、
となるが、 偏微分を実行し、 式を整理することによって、
極座標のラプラシアン
が得られる。
補足
  上の議論で使った偏微分の計算を行う。 $(2)$ より、
であるので、
であることが分かる。
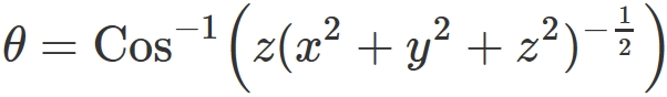
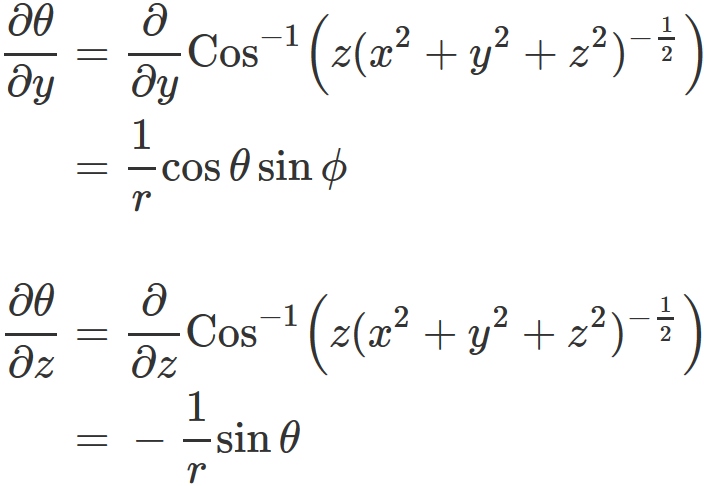
  また、 $(2)$ より、
が示されるので、
と置き、
であることを用いると、 合成関数の微分により、
であることが分かる。 途中の計算で $\sin\theta \geq 0$ (なぜなら $0 \leq \theta \leq \pi$) であることを用いた。 同様の計算により、
が示される。
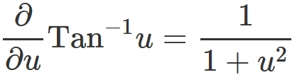
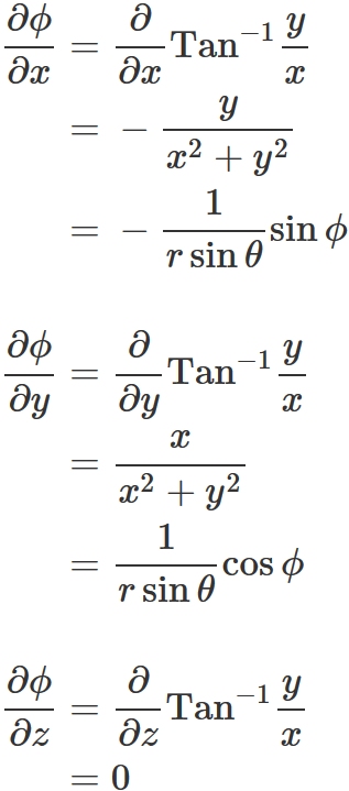
  $\phi$ の微分については $(2)$ より、
が示されるので、 逆三角関数の微分が
であることを用いると、
となる。