極座標系での場の表現  

 
極座標の定義
  デカルト座標 $(x, y, z)$ と極座標 $(r, \theta, \phi)$ の対応関係は、
極座標系の定義
である。ここで、 $0 \leq \theta \leq \pi$ かつ $0 \leq \phi \leq 2 \pi$ である。
  この関係から、 極座標系による勾配、発散、回転、ラプラシアン等を導出することが出来る。
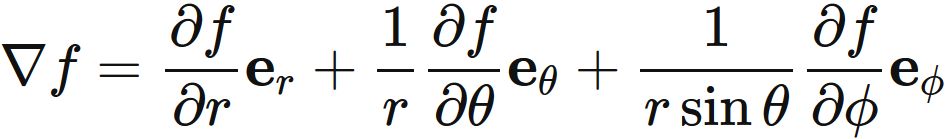
極座標系の勾配 (Gradient)
  関数の $f$ の勾配 $\nabla f$ の極座標系での表現は、
極座標系の勾配
である。
  ここで $\{ \mathbf{e}_{r}, \mathbf{e}_{\theta}, \mathbf{e}_{\phi} \}$ は極座標系の基底ベクトルである。
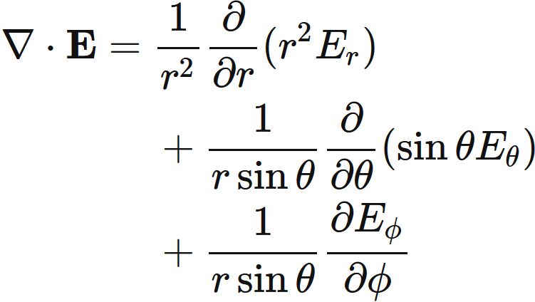
極座標系の発散 (Divergence)
  ベクトル場 $\mathbf{E}$ の発散 $\nabla \cdot \mathbf{E}$ の極座標系での表現は、
極座標系の発散
である。
  ここで $(E_{r}, E_{\theta}, E_{\phi})$ は、 $\mathbf{E}$ の極座標成分である。
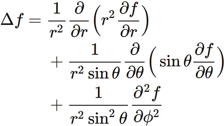
極座標系のラプラシアン (Laplacian)
  極座標で表したラプラシアンは、
極座標系のラプラシアン
である。
2次元の極座標系のラプラシアン (Laplacian)
  2次元の極座標系のラプラシアンは、
2次元の極座標系のラプラシアン
と表される。
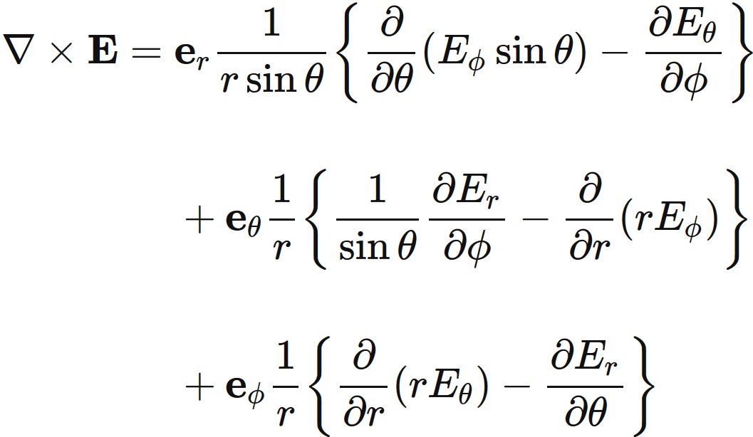
極座標系の回転 (Rotation)
  ベクトル場 $\mathbf{E}$ の回転 $\nabla \times \mathbf{E}$ を極座標系 $(r, \theta, \phi)$ で表すと、
極座標系の回転 rotation rot
である。
  ここで $(E_{r}, E_{\theta}, E_{\phi})$ は、 ベクトル $\mathbf{E}$ の極座標系による表現である。 また、 $\{\mathbf{e}_{r}, \mathbf{e}_{\theta}, \mathbf{e}_{\phi} \}$ は極座標の基底ベクトルである。
極座標系の基底ベクトル
  極座標系の基底ベクトル $\{ \mathbf{e}_{r}, \mathbf{e}_{\theta}, \mathbf{e}_{\phi} \}$ は、 デカルト座標系(XYZ座標系)の基底ベクトル $\{ \mathbf{e}_{x}, \mathbf{e}_{y}, \mathbf{e}_{z} \}$ によって、
極座標系の基底ベクトル
と表される。
  反対に、 デカルト座標系の基底ベクトルは、 極座標系の基底ベクトルによって、
極座標系の基底ベクトルとデカルト座標系の基底ベクトルの対応
と表される。