極座標 による回転 (Rotation) の表現  

  ベクトル場 $\mathbf{E}$ の回転 $\nabla \times \mathbf{E}$ を極座標系 $(r, \theta, \phi)$ で表すと、
極座標系で表した回転(Rotation)
である。
  ここで $(E_{r}, E_{\theta}, E_{\phi})$ は、 ベクトル $\mathbf{E}$ の極座標系による表現である。 また、 $\{\mathbf{e}_{r}, \mathbf{e}_{\theta}, \mathbf{e}_{\phi} \}$ は極座標の基底ベクトルである。

  証明

準備
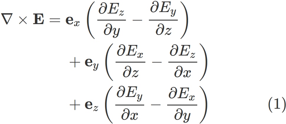
  ベクトル場 $\mathbf{E}$ の回転の定義は、
ベクトル場の回転(Rotation)
である。 ここで $E_{x}, E_{y}, E_{z}$ はそれぞれ $\mathbf{E}$ の $x, y, z$ 成分である。
  この表現を出発点とし、 $\mathbf{E}$ の回転の極座標系による表現を求める。
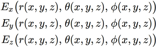
  各成分 $E_{x}, E_{y}, E_{z}$ は 極座標の関数として表されているものとする。 すなわち、
ベクトル場の回転(Rotation)
とする。
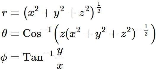
  デカルト座標 $(x,y,z)$ と極座標 $(r, \theta, \phi)$ の間には、
極座標
の関係があり、 これより 、
が成り立つ。 このように極座標はデカルト座標の関数であるので、 極座標の関数 $E_{x}, E_{y}, E_{y}$ は、 その極座標がデカルト座標の関数であるという合成関数である。 すなわち、
と表される合成関数である。
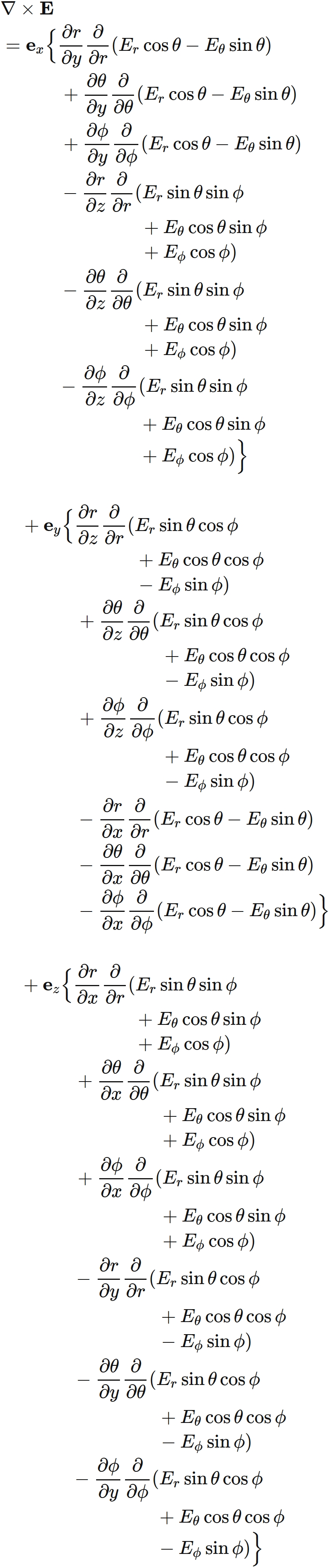
  したがって、 合成関数の微分の連鎖率(チェーンルール)を用いると、 $(1)$ に含まれる微分のそれぞれは、
と表される。 これより回転は、
と表される。
  よって、 回転を極座標で表すためには、 ベクトル $\mathbf{E}$ のデカルト座標成分 $E_{x}, E_{y}, E_{z}$ と極座標成分の関係を求める必要がある。
ベクトル場 $\mathbf{E}$ の極座標による表現
  デカルト座標の基底ベクトル(単位ベクトル)を $\{ \mathbf{e}_{x}, \mathbf{e}_{y}, \mathbf{e}_{z} \}$ とすると、 ベクトル場 $\mathbf{E}$ は、
と表される。
  一方で 極座標の基底ベクトル(単位ベクトル)を $\{ \mathbf{e}_{r}, \mathbf{e}_{\theta}, \mathbf{e}_{\phi} \}$ とし、 $\mathbf{E}$ の極座標成分を $E_{r}, E_{\theta}, E_{\phi}$ と表すことにすると、 $\mathbf{E}$ は、
と表される。
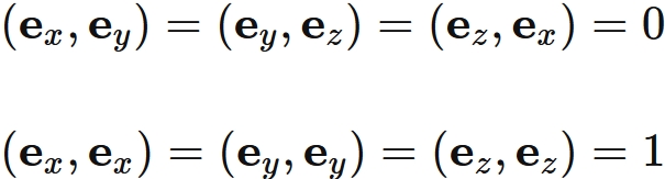
  前者は $\mathbf{E}$ のデカルト座標系による表現であり、 後者は 極座標系による表現である。 これらの対応関係は、 互いの基底ベクトルの間にある関係
から求められる (この関係の証明は「極座標系の基底ベクトル」を参考)。  実際、 この関係式を $\mathbf{E}$ の極座標による表現に代入すると、
と表されるが、 デカルト座標系の基底ベクトルが正規直交基底を成すこと
を用いると、 $(4)$ から
が求まり、 $(5)$ から
が求まるので、 これらより、
をうる。
  これが $\mathbf{E}$ のデカルト成分と成分との間の対応関係である。
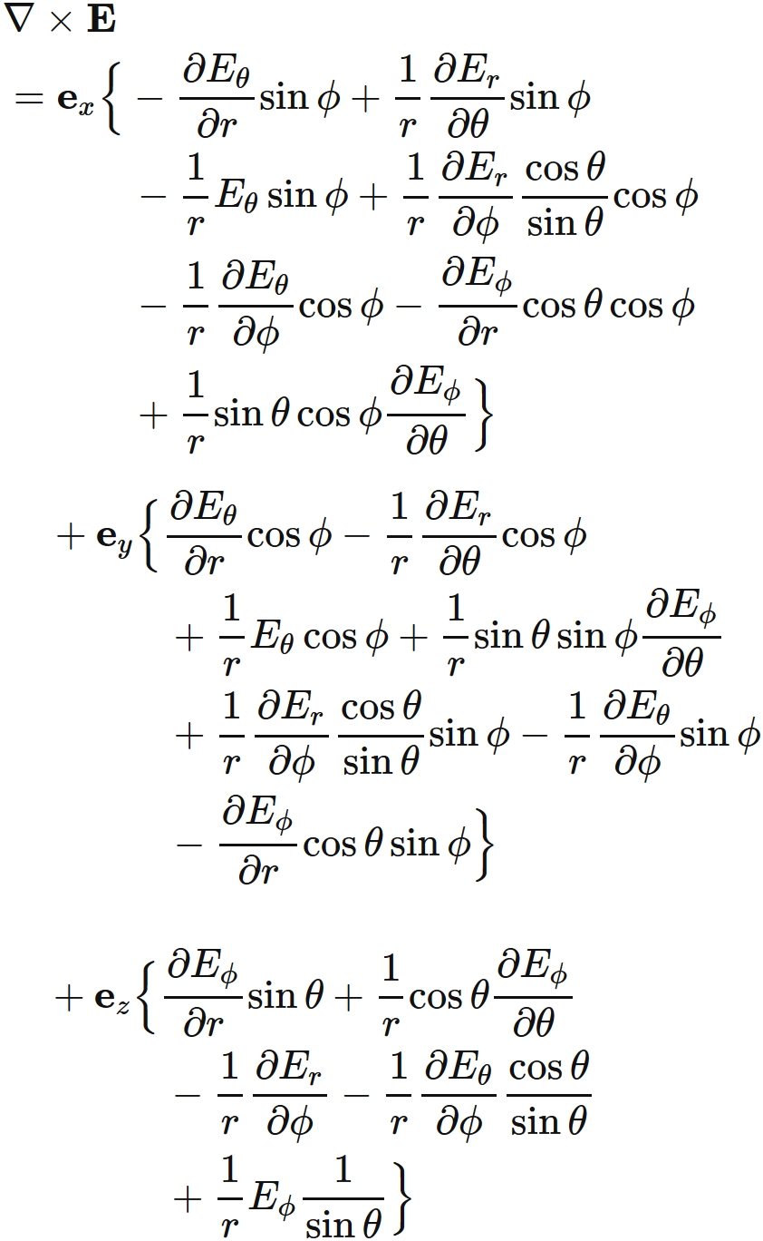
回転の計算
$(6)$ を $(3)$ に代入すると、
となる。 この式に含まれる偏微分は $(2)$ から
と求められるので (これらの計算方法に関してはページ下部の補足を参考)、 これらを代入すると、
となる。 偏微分を実行し、 整理すると、
となる。 ここに、 極座標系の基底ベクトルとデカルト座標系の基底ベクトルの関係
を代入し、 整理すると、
極座標系で表した回転(Rotation)
を得る。
補足
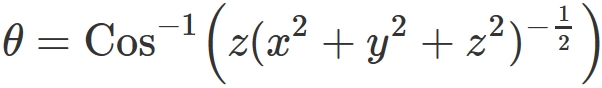
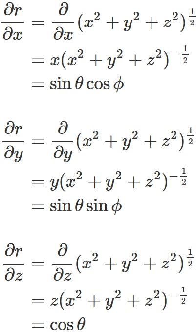
  上の議論で使った偏微分の計算を行う。 $(2)$ より、
であるので、
であることが分かる。
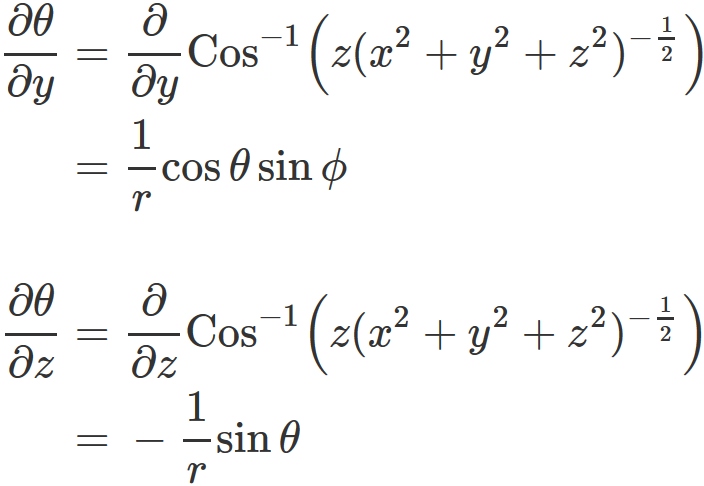
  また、 $(2)$ より、
が示されるので、
と置き、
であることを用いると、 合成関数の微分により、
であることが分かる。 途中の計算で $\sin\theta \geq 0$ (なぜなら $0 \leq \theta \leq \pi$) であることを用いた。 同様の計算により、
が示される。
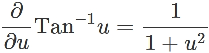
  $\phi$ の微分については $(2)$ より、
が示されるので、 逆三角関数の微分が
であることを用いると、
となる。