極座標系の基底ベクトル  

  極座標系の基底ベクトル $\{ \mathbf{e}_{r}, \mathbf{e}_{\theta}, \mathbf{e}_{\phi} \}$ は、 デカルト座標系(XYZ座標系)の基底ベクトル $\{ \mathbf{e}_{x}, \mathbf{e}_{y}, \mathbf{e}_{z} \}$ によって、
極座標系の基底ベクトル
と表される。

  証明

 
準備
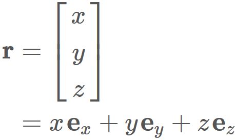
  デカルト座標系(XYZ座標系)の基底ベクトルを
と定義し、 点の位置ベクトルを
と表す。
  極座標のパラメータ $(r, \theta, \phi)$ との対応関係は、
極座標系
である。 ただし、
極座標系パラメータの範囲
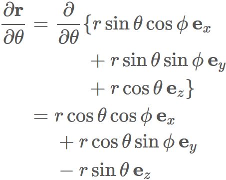
である。 これらより $\mathbf{r} $ は
位置ベクトルを極座標で表現
と表せる。 このように $\mathbf{r} $ は $(r, \theta, \phi)$ に依存する。 そこで $ \mathbf{r} $ を
と表すことにする。
 
定義
  パラメータ $\theta$ が
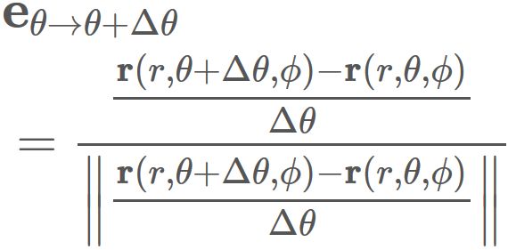
と変化したときの位置ベクトルの変化分を $\Delta \mathbf{r}_{\theta \rightarrow \theta + \Delta \theta}$ と定義する。 すなわち、
と定義する。 また、 これと同じ方向を向く単位ベクトル(長さを1にしたベクトル)を $\mathbf{e}_{\theta \rightarrow \theta + \Delta \theta}$ と定義する。 すなわち、
と定義する。 これらより、
であるが、 $\Delta \theta > 0$ であるので、 $\Delta \theta = | \Delta \theta | $ が成り立つことを用いると、
と表せる。
  $ \mathbf{e}_{\theta \rightarrow \theta + \Delta \theta} $ は位置ベクトルの変化する方向を向いているが、 その方向は $\Delta \theta$ の大きさに依存する。 この方向は、 $\Delta \theta$ を小さくすればするほど $\theta$ を変化させる際に生ずる位置ベクトルの軌跡と同じ方向を向く (下図)。
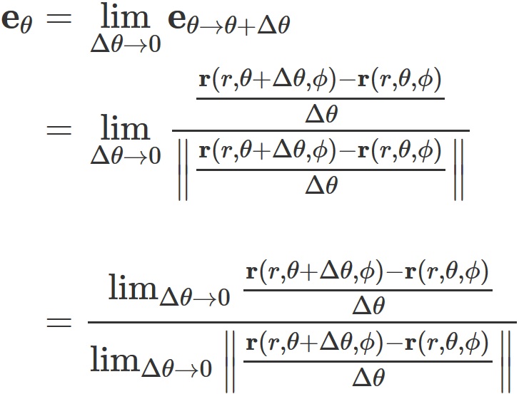
そこで $\theta$ 方向の基底ベクトル $\mathbf{e}_{\theta}$ を、 $ \mathbf{e}_{\theta \rightarrow \theta + \Delta \theta} $ の $\Delta \theta$ を $0$ に近づけた極限として次のように定義する。
最後の等号で 関数の商の極限が極限の商に等しくなる性質を用いた。
  右辺の分子分母に現れた極限は位置ベクトル $\mathbf{r}$ の $\theta$ による偏微分そのものである。 すなわち、
である。 よって、
と表される。 このように $\theta$ 方向の単位ベクトルは、 位置ベクトル $\mathbf{r}$ の $\theta$ による偏微分を規格化したものに等しい。
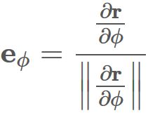
  同じように $r$ 方向と $\phi$ 方向の基底ベクトル $\mathbf{e}_{r}$ と $\mathbf{e}_{\phi}$ は、 それぞれ位置ベクトルの $r$ と $\phi$ による偏微分を規格化したものに等しい。 すなわち、
である。
 
証明
  以上の定義を用いて、 極座標系の基底ベクトルとデカルト座標系の基底ベクトルとの対応関係を導く。
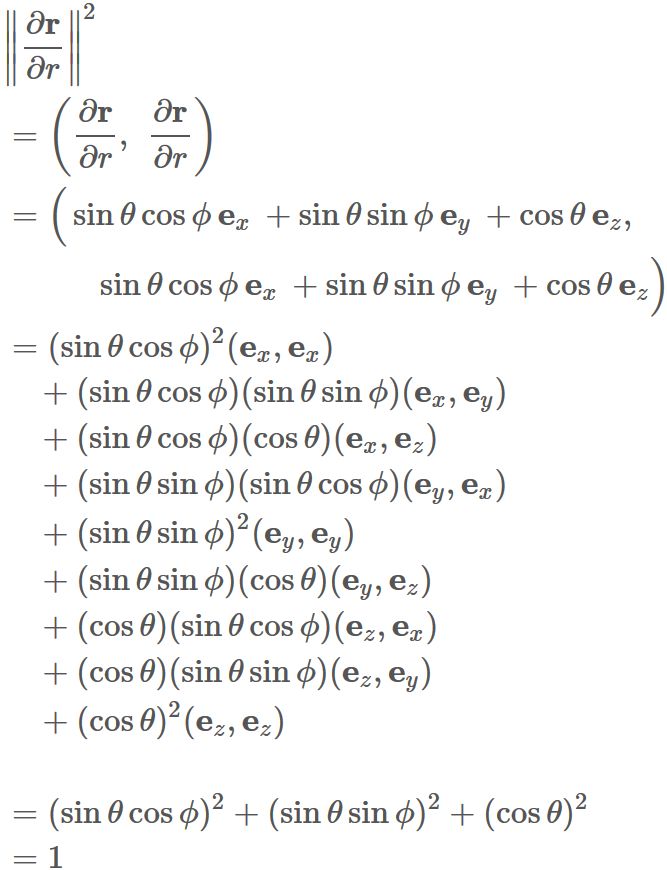
  はじめに $r$ 方向の基底ベクトルは、 $(3)$ から
であるが、 分子分母にある $r$ 方向の偏微分を $(1)$ を用いて表すと、
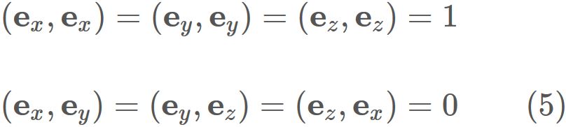
である。 ここで、 デカルト座標系の基底ベクトルが正規直交基底を成すこと
を用いると、
となる。 よって、
であるので、
である。
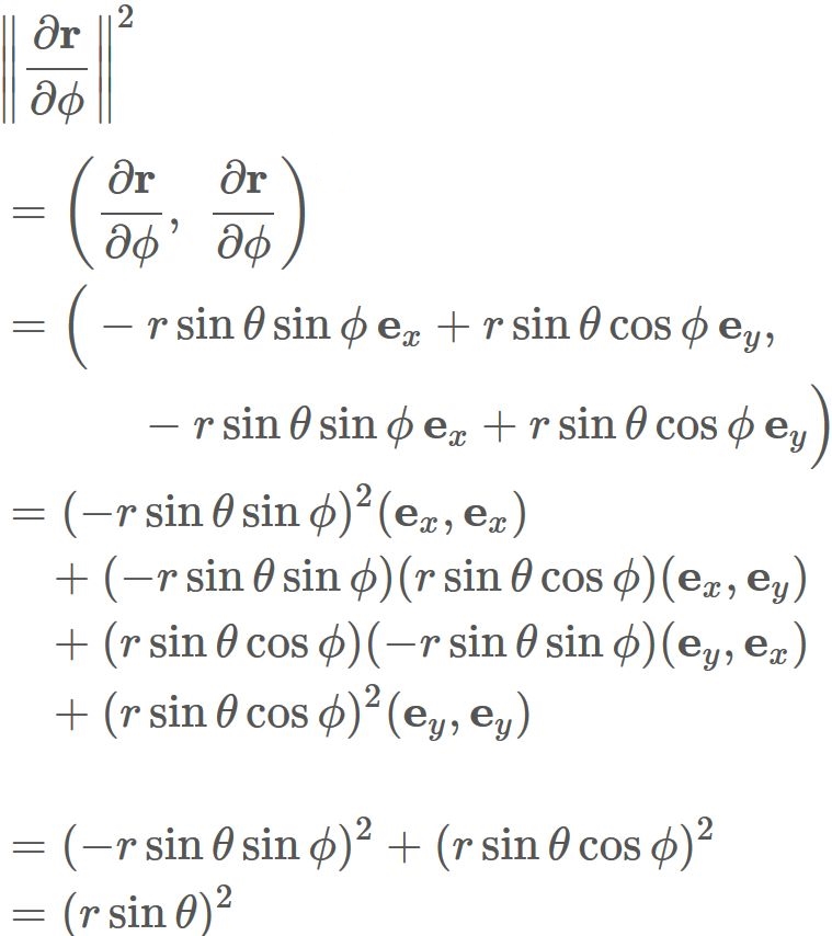
  次に $\theta$ 方向の基底ベクトルは、 $(2)$ から
であるが、 分子分母にある $\theta$ 方向の偏微分を $(1)$ を用いて表すと、
である。 ここで $(5)$ を用いると、
となるので、 $r \geq 0$ であることから、
である。 以上から、
である。
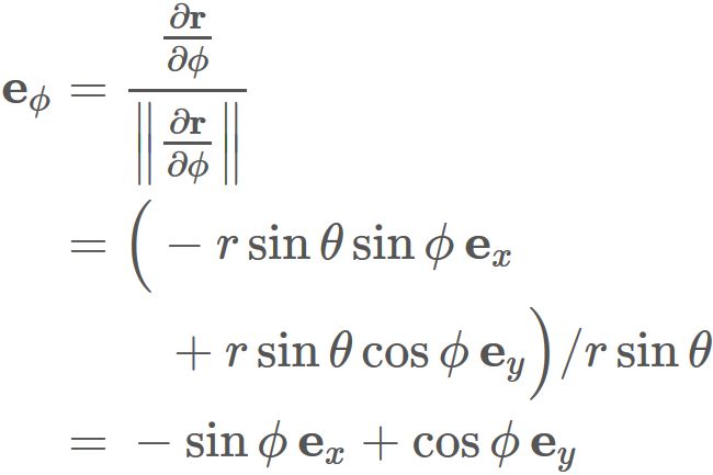
  最後に $\phi$ 方向の基底ベクトルは、 $(4)$ から
であるが、 分子分母にある $\phi$ 方向の偏微分を $(1)$ を用いて表すと、
である。 ここで $(5)$ を用いると、
となるので、 $r \geq 0$ かつ $0 \leq \theta \leq \pi$ $(\sin\theta \geq 0)$ であることから、
である。 よって、
である。
  以上から極座標系の基底ベクトルは、 デカルト座標系の単位ベクトルによって、
と表される。
補足:
ここまでは極座標系の基底ベクトルのデカルト座標系の基底ベクトルによる表現を求めたが、 以下では、 その関係を使って逆に、デカルト座標系の基底ベクトルの極座標系の基底ベクトルによる表現を求める。
  上の関係は行列を用いて、
と表せるので、 行列 $R$ を
と定義すると、
と表せる。
  ここで、 $R$ の転置行列が、
であることを用いると、 計算によって、
となることが確かめられる ($R$ は直交行列である)。 これより、
となる。 これより、 デカルト座標系の基底ベクトルは
と極座標系の基底ベクトルによって表されることが分かる。