円柱座標系での場の表現  

円柱座標の定義
  デカルト座標 $(X, Y, Z)$ と円柱座標 $(r, \theta, \phi)$ の対応関係は、
円筒座標
$$ \tag{1.1} $$ である。ここで、 $r \geq 0$ かつ $0 \leq \theta \lt 2\pi$ である。   以下では、 この定義から 円柱座標系での勾配、発散、回転、ラプラシアン等を導出する。
基底ベクトル
円柱座標系の基底ベクトル $\{ \mathbf{e}_{r}, \mathbf{e}_{\theta}, \mathbf{e}_{\phi} \}$ は、 デカルト座標系(XYZ座標系)の基底ベクトル $\{ \mathbf{e}_{X}, \mathbf{e}_{Y}, \mathbf{e}_{Z} \}$ によって、
円柱座標系の基底ベクトル
$$ \tag{2.1} $$ と表される。
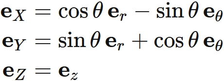
  反対に、 デカルト座標系の基底ベクトルは、 円柱座標系の基底ベクトルによって、
円柱座標系の基底ベクトルとデカルト座標系の基底ベクトルの対応
$$ \tag{2.2} $$ と表される。
証明
準備
  デカルト座標系(XYZ座標系)の基底ベクトルを
と定義し、 点の位置ベクトルを
と表す。 これと $(1.1)$ より、 $\mathbf{r} $ は
$$ \tag{2.3} $$ と表せる。 このように $\mathbf{r} $ は $(r, \theta, z)$ に依存する。 そこで、 $ \mathbf{r} $ を
と表すことにする。
定義
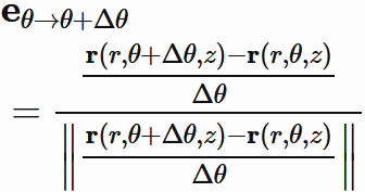
  パラメータ $\theta$ が
と変化したときの位置ベクトルの変化分を $\Delta \mathbf{r}_{\theta \rightarrow \theta + \Delta \theta}$
と定義する。 また、 これと同じ方向を向く単位ベクトル (長さを $1$ にしたベクトル) $\mathbf{e}_{\theta \rightarrow \theta + \Delta \theta}$ を
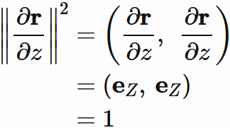
と定義する。ここで $\| \cdot \|$ はノルムを表す記号である。 これらより、
であるが、 $\Delta \theta > 0$ であるので、 $\Delta \theta = | \Delta \theta | $ が成り立つことを用いると、
と表せる。
  $ \mathbf{e}_{\theta \rightarrow \theta + \Delta \theta} $ は位置ベクトルの変化する方向を向いているが、 その方向は $\Delta \theta$ の大きさによって変化する。 この方向は、 $\Delta \theta$ を小さくすればするほど、 $\theta$ を変化させる際に生ずる位置ベクトルの軌跡と同じ方向を向く (下図)。
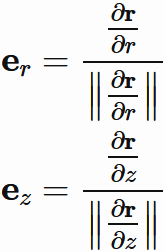
そこで $\theta$ 方向の基底ベクトル $\mathbf{e}_{\theta}$ を、 $ \mathbf{e}_{\theta \rightarrow \theta + \Delta \theta} $ の $\Delta \theta$ を $0$ に近づけた極限として次のように定義する。
最後の等号では商の極限の性質を用いた。 右辺の分子分母に現れた極限は、位置ベクトル $\mathbf{r}$ の $\theta$ による偏微分そのものである。 すなわち、
である。 よって、
$$ \tag{2.4} $$ と表される。 このように $\theta$ 方向の単位ベクトルは、 位置ベクトル $\mathbf{r}$ の $\theta$ による偏微分を規格化したものに等しい。
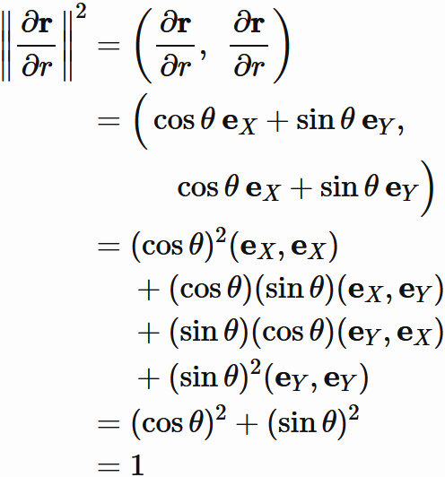
  同じように、 $r$ 方向と $z$ 方向の基底ベクトル $\mathbf{e}_{r}$ と $\mathbf{e}_{z}$ は、 それぞれ位置ベクトルの $r$ と $z$ による偏微分を規格化したものに等しい。 すなわち、
$$ \tag{2.5} $$ である。
導出
  以上の定義を用いて、 円柱座標系の基底ベクトルを求める。 はじめに $(2.5)$ の第一式の分子分母にある $r$ 方向の偏微分を $(2.3)$ を用いて表すと、
である。 ここで、 デカルト座標系の基底ベクトルが正規直交基底を成すこと、 すなわち、
$$ \tag{2.6} $$ と内積の線形性を用いると、
である。 これらと $(2.5)$ の第一式より、
である。
  次に $\theta$ 方向の基底ベクトルを求める。 $(2.4)$ の分子分母にある $\theta$ 方向の偏微分を $(2.3)$ を用いて表すと、
である。 ここで $(2.6)$ と内積の線形性を用いると、
となるので、 これらと $(2.4)$ から
である。 最後に $z$ 方向の基底ベクトルを求める。 $(2.5)$ の第二式の分子分母にある $z$ 方向の偏微分を $(2.3)$ を用いて表すと、
であるが、 $(2.6)$ から
であるので、
である。
  以上から円柱座標系の基底ベクトルは、 デカルト座標系の単位ベクトルによって、
$$ \tag{2.7} $$ と表される。
デカルト座標系を円柱座標系で表す
  $(2.7)$ は円柱座標系の基底ベクトルをデカルト座標系の基底ベクトルによって表した式である。 以下では、 逆にデカルト座標系の基底ベクトルを円柱座標系の基底ベクトルによって表した式を求める。
  $(2.7)$は行列を用いて、
と表せる。 行列 $R$ を
と定義すると、
である。 ここで、 $R$ の転置行列
によって
が成り立つこと ($R$ は直交行列、 $I$ は単位行列) を用いると、
が成り立つ。 したがって、
を得る。 これは、デカルト座標系の基底ベクトルを円柱座標系の基底ベクトルによって表した式である。

円柱座標で表したベクトルの成分
ベクトル $\mathbf{E}$ を デカルト座標系で表した各成分を $E_{X}, E_{Y}, E_{Z}$ とし、 円柱座標系で表した各成分を $E_{r}, E_{\theta}, E_{z}$ とするとき、 $E_{X}, E_{Y}, E_{Z}$ は $E_{r}, E_{\theta}, E_{z}$ によって、
円柱座標におけるベクトルの成分
と表される。 逆に $E_{r}, E_{\theta}, E_{z}$ は $E_{X}, E_{Y}, E_{Z}$ によって、
円柱座標におけるベクトルの成分 2
と表される。
証明
  デカルト系の基底ベクトル $\{\mathbf{e}_{X},\mathbf{e}_{Y}, \mathbf{e}_{Z}\}$ 円柱座標系の基底ベクトル $\{\mathbf{e}_{X},\mathbf{e}_{Y}, \mathbf{e}_{Z}\}$ との関係
$$ \tag{3.1} $$ である 。 ベクトル場 $\mathbf{E}$ の円柱座標系での $r$ 成分を $E_{r}$、 $\theta$ 成分を $E_{\theta}$、 $z$ 成分を $E_{z}$ として、 $(4.4)$ を用いると、
と表される。ここで、 デカルト座標系の基底ベクトルに対して、 内積を計算すると、
$$ \tag{3.2} $$ が成り立つこと (正規直交基底を成すこと) を用いると、
$$ \tag{3.3} $$ が成り立つ。 一方、 ベクトル場 $\mathbf{E}$ のデカルト座標系での $X$ 成分を $E_{X}$、 $Y$ 成分を $E_{Y}$、 $z$ 成分を $E_{Z}$ とすると、
と表され、 $(3.2)$ から
が成り立つ。 これと $(3.3)$ から、
の関係があることが分かる。
  行列で表すと、
$$ \tag{3.4} $$ である。ここで
と定義した。 $(3.4)$ の両辺に $M$ の転置行列
を掛けると、 $M^{T}M=I$ ($I$ は単位行列)
を得る。

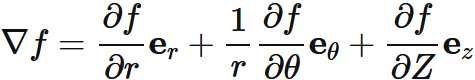
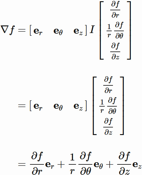
勾配 (Gradient)
  円柱座標で表された関数 $f$ の勾配 $\nabla f$ は、
円柱座標系の勾配(Gradient)
である。 ここで $\{ \mathbf{e}_{r}, \mathbf{e}_{\theta}, \mathbf{e}_{z} \}$ は円柱座標系の基底ベクトルである。
証明
  関数 $f$ の勾配 $\nabla f$ は、 デカルト座標 $(X, Y, Z)$ の偏微分によって
と定義されるベクトルである。 ここで、 デカルト座標系の基底ベクトルを
$$ \tag{4.1} $$ と定義すると、 $\nabla f$ を
$$ \tag{4.2} $$ と表すことができる。 このように勾配は、 基底ベクトルを成分に持つ
$$ \tag{4.3} $$ と 偏微分を成分に持つ
$$ \tag{4.4} $$ によって表すことができる。
  まず $(4.3)$ を考える。 デカルト座標系の基底ベクトル $(4.1)$ は、 円柱座標系の基底ベクトル $\{ \mathbf{e}_{r} , \mathbf{e}_{\theta} , \mathbf{e}_{z} \}$ によって
と表せる。 ここで 行列 $R$ を
$$ \tag{4.5} $$ と定義すると、
$$ \tag{4.6} $$ と表される。
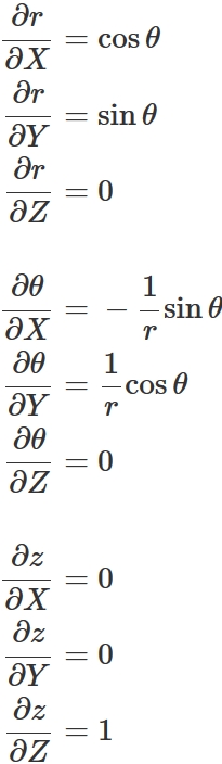
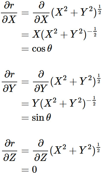
  続いて $(4.4)$ を考える。 円柱座標の定義 $(1.1)$ より、
が成り立ので、 円柱座標はデカルト座標の関数である。 よって、 円柱座標の関数である $f$ は、 その円柱座標がデカルト座標の関数であるという合成関数である。 すなわち、 $f$ は
と表される合成関数である。 したがって、 合成関数の微分の公式 (連鎖律) を用いると、 $f$ のデカルト座標による偏微分は、 円柱座標による偏微分によって
と表される。 ここで円柱座標の定義 $(1.1)$ より、
である (計算方法に関しては補足を参考)。  これらより、
である。 これらは行列を用いて、
と表せる。 右辺に現れた 3x3 の行列は、 $(4.5)$ の行列 $R$ の転置行列である。 すなわち、
である。 これより、
である。
  この関係と $(4.6)$ を $(4.2)$ に代入すると、 勾配は
と表されるが、 計算すると分かるように、
が成り立つ ($R$は 直交行列、 $I$ は単位行列) ので、
を得る。
  このように勾配は円柱座標の偏微分と円柱座標の基底ベクトルの線形結合によって表される。

発散 (Divergence)
  円柱座標で表したベクトル場 $\mathbf{E}$ の発散 $\nabla \cdot \mathbf{E}$ は、
円柱座標での発散 (Divergence)
である。 ここで $(E_{r}, E_{\theta}, E_{\phi})$ は、 $\mathbf{E}$ の円柱座標成分である。
証明
準備
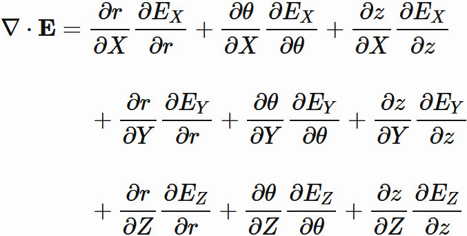
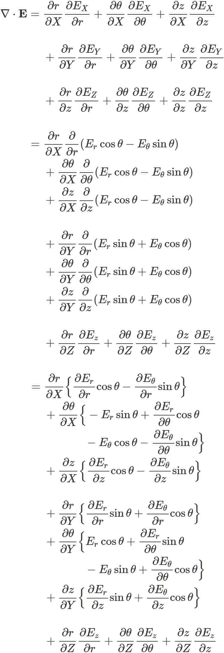
  ベクトル場 $\mathbf{E}$ の発散 $\nabla \cdot \mathbf{E}$ は、 デカルト座標 $X,Y,Z$ によって、
$$ \tag{5.1} $$ と定義される。 ここで $E_{X}, E_{Y}, E_{Z}$ はそれぞれ $\mathbf{E}$ の $X,Y,Z$ 成分であり、 円柱座標の関数として表されているものとする。 すなわち、
とする。 円柱座標の定義より、
$$ \tag{5.2} $$ が成り立つ。 このように 円柱座標はデカルト座標の関数である。 よって、 円柱座標の関数 $E_{X}, E_{Y}, E_{Z}$ は、 その円柱座標がデカルト座標の関数であるという合成関数である。 すなわち、
と表される合成関数である。 したがって、 合成関数の微分の公式 (連鎖率) を用いると、 $(5.1)$ に含まれる微分のそれぞれは、
と表される。
$$ \tag{5.3} $$ と表される。 $E_{X}, E_{Y}, E_{Z}$ と $E_{r}, E_{\theta}, E_{z}$ との関係
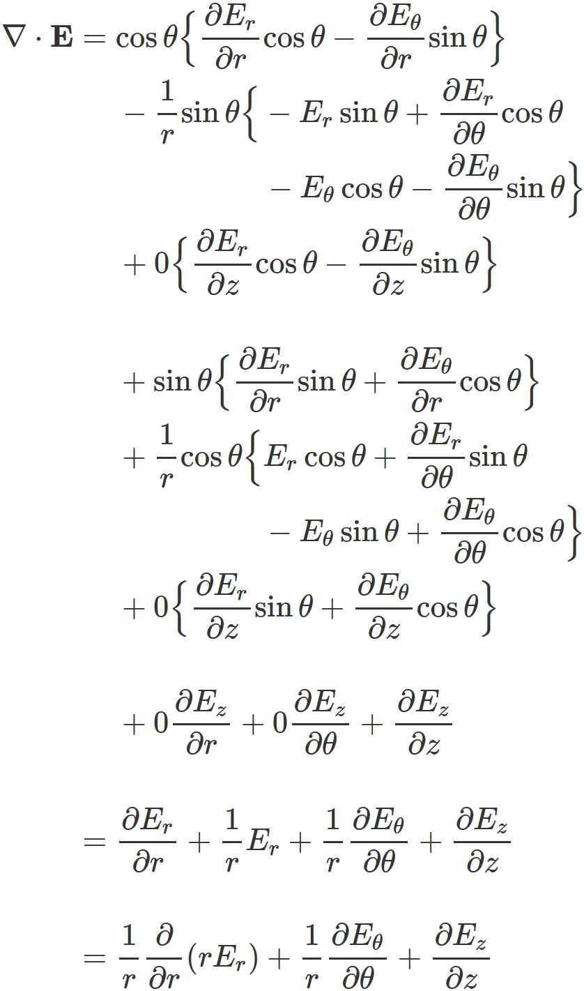
$$ \tag{5.4} $$ である。 これらから以下のように発散が求まる。
発散の計算
  $(5.4)$ を $(5.3)$ に代入し、 各偏微分を実行すると、
となるが、 ここで現れた 円柱座標のデカルト座標による偏微分は $(5.2)$ から (詳細は補足を参考)、
と求められるので 、 これらを代入すると、
が得られる。

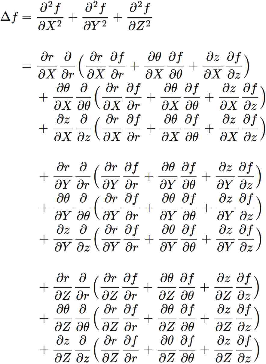
ラプラシアン (Laplacian)
  円柱座標で表したラプラシアンは、
円柱座標のラプラシアン(Laplacian)
である。
証明
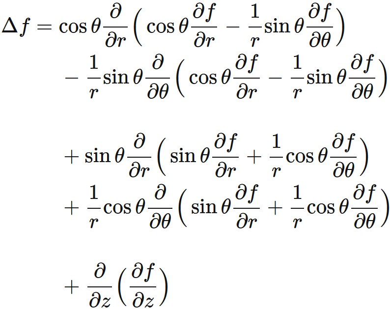
  デカルト座標 $(X,Y,Z)$ によって ラプラシアンは、
$$ \tag{6.1} $$ と定義される。 $f$ を円柱座標 $(r, \theta, z)$ の関数とする。 円柱座標の定義より、
$$ \tag{6.2} $$ が成り立つ。 このように円柱座標はデカルト座標の関数であるので、 円柱座標の関数 $f$ は、 その円柱座標がデカルト座標の関数であるという合成関数である。 すなわち、
と表される合成関数である。 したがって、 合成関数の微分の公式 (連鎖率) を用いると、 $f$ のデカルト座標による偏微分は、
と表される。 同様に、 再び合成関数の微分の公式を用いると、 二階の偏微分が
と表される。 これらより、 ラプラシアン $(6.1)$ は、
と表される。 この式に含まれる円柱座標のデカルト座標による偏微分は、 $(6.2)$ から (詳細は補足を参考)、
と求められる。 これらを代入すると、 ラプラシアンは
と表されるが、 偏微分を実行し、 式を整理することによって、
が得られる。

円柱座標系の回転 (Rotation)
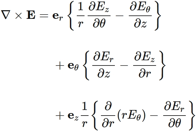
  円柱座標系で表されたベクトル場 $\mathbf{E}$ の回転 $\nabla \times \mathbf{E}$ は、
円柱座標系の回転 rotation curl
である。 ここで $\{\mathbf{e}_{r}, \mathbf{e}_{\theta}, \mathbf{e}_{\phi} \}$ は円柱座標の基底ベクトルである。
証明
準備
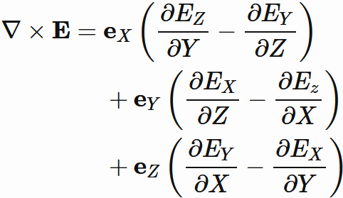
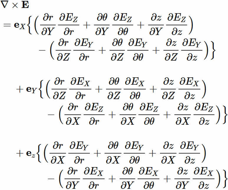
  デカルト座標 $(X,Y,Z)$ によって ベクトル場 $\mathbf{E}$ の回転は、
$$ \tag{7.1} $$ と定義される。 ここで $E_{X}, E_{Y}, E_{Z}$ はそれぞれ $\mathbf{E}$ の $X, Y, Z$ 成分であり、 円柱座標の関数であるとする。 円柱座標の定義より、
$$ \tag{7.2} $$ が成り立つ。 このように 円柱座標はデカルト座標の関数であるので、 円柱座標の関数 $E_{X}, E_{Y}, E_{Z}$ は、 その円柱座標がデカルト座標の関数であるという合成関数である。 すなわち、
と表される合成関数である。
  したがって、 合成関数の微分の公式 (連鎖率) を用いると、 $(7.1)$ に含まれる微分のそれぞれは、
と表される。 これより回転は、
$$ \tag{7.3} $$ と表される。 $E_{X}, E_{Y}, E_{Z}$ と $E_{r}, E_{\theta}, E_{z}$ との関係
$$ \tag{7.4} $$ である。 これらから以下のように回転が求まる。
回転の計算
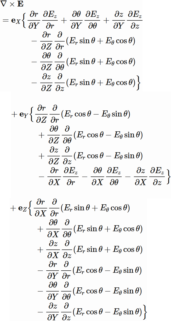
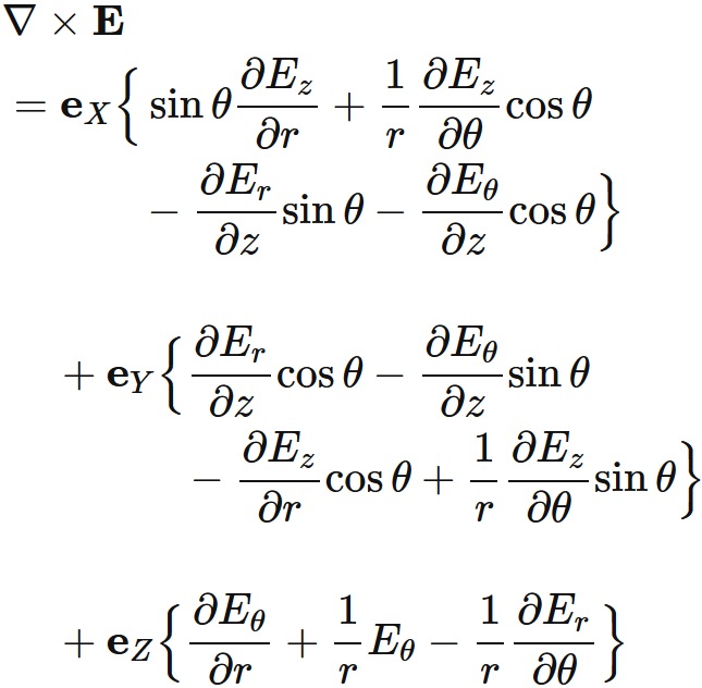
  $(7.4)$ を $(7.3)$ に代入すると、
となる。 この式に含まれる円柱座標のデカルト座標による偏微分は、 $(7.2)$ から (詳細は補足を参考)、
と求められるので (これらの計算方法に関してはページ下部の補足を参考)、 これらを代入すると、
となる。 偏微分を実行して、 整理すると、
となる。 ここに、 円柱座標系の基底ベクトルとデカルト座標系の基底ベクトルの関係
を代入し、 整理すると、
円柱座標系の回転 rotation curl
を得る。

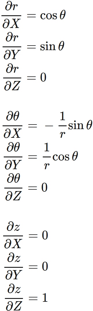
補足
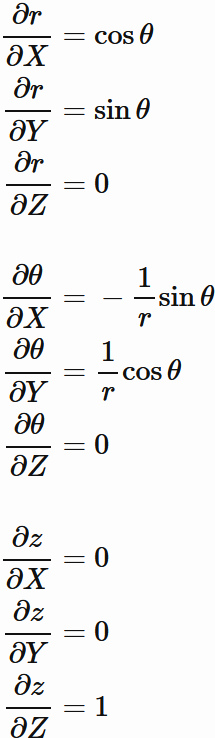
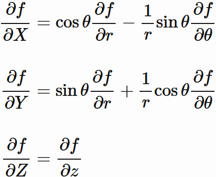
  上の議論で使った偏微分の計算を行う。 $(1.1)$ より、
であるので、
である。また、 $(1.1)$ より、
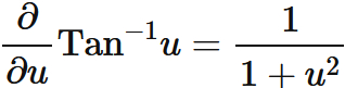
であり、 逆三角関数の微分が
であることを用いると、
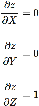
である。 $z$ の微分については $(1.1)$ より、 $ z = Z $ であるので、
である。