極座標系で表した関数の勾配  

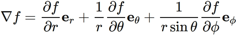
  関数の $f$ の勾配 $\nabla f$ を極座標系 $(r, \theta, \phi)$ で表すと、
極座標系で表した勾配(Gradient)
である。 ここで $\{ \mathbf{e}_{r}, \mathbf{e}_{\theta}, \mathbf{e}_{\phi} \}$ は極座標系の基底ベクトルである。

  証明

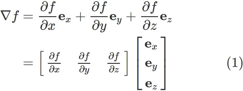
  $f$ を極座標 $(r, \theta, \phi)$ の関数とする。 $f$ の勾配 $\nabla f$ は、 デカルト座標 $(x, y, z)$ の偏微分によって
と定義されるベクトルである。 ここで、 デカルト座標系の基底ベクトルを
と定義すると、 $\nabla f$ を
と表すことができる。 このように勾配は、 偏微分を成分に持つベクトルと基底ベクトルによって表される。 そこで以下では、 これらの極座標系による表現を求める。
  初めに基底ベクトルの極座標系による表現を求める。 デカルト座標 $(x,y,z)$ と極座標 $(r, \theta, \phi)$ との対応関係は、
である。 これを用いると、 デカルト座標系の基底ベクトル $\{ \mathbf{e}_{x} , \mathbf{e}_{y} , \mathbf{e}_{z} \}$ は、 極座標系の基底ベクトル $\{ \mathbf{e}_{r} , \mathbf{e}_{\theta} , \mathbf{e}_{\phi} \}$ によって
と表せることが示される (証明は極座標系の基底ベクトルを参考) 。
  この関係は、 行列 $R$ を
と定義すると、
と表すことができる。
  続いて、 $f$ のデカルト座標による偏微分の極座標系による表現を求める。 $(2)$ から極座標をデカルト座標によって
と表すことができるので、 極座標はデカルト座標の関数である。 よって、 極座標の関数である $f$ は、 その極座標がデカルト座標の関数であるという合成関数である。 すなわち、 $f$ は
と表される合成関数である。 したがって、 $f$ のデカルト座標による偏微分は、 合成関数の微分の連鎖律 (チェーンルール) によって、
と表せる。
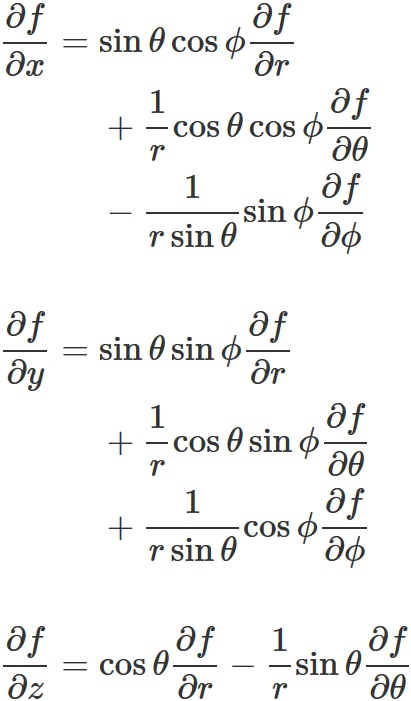
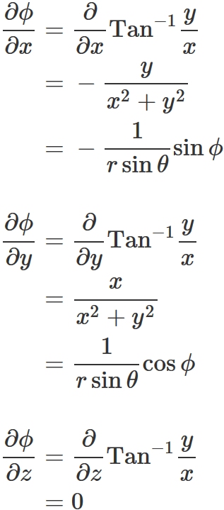
  極座標による偏微分は、 $(2)$ より、
である (計算方法に関してはページ下部の補足を参考)。  これらより、
である。 これらは行列を用いて、
と表せる。
  右辺に現れた 3x3 の行列は、 上で定義した行列 $R$ の転置行列である。 すなわち、
である。 これより、
である 。
  この関係と $(3)$ を $(1)$ に代入すると、 勾配は
と表されるが、 計算すると分かるように、
を得る。
  このように勾配は極座標の偏微分と極座標の基底ベクトルの線形結合によって表される。
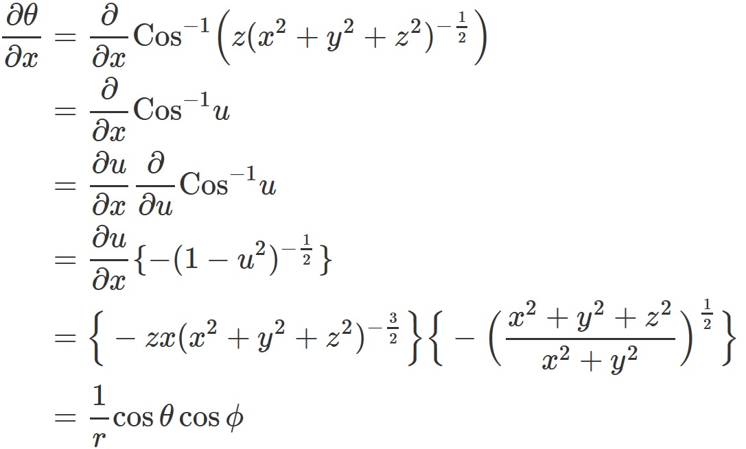
補足
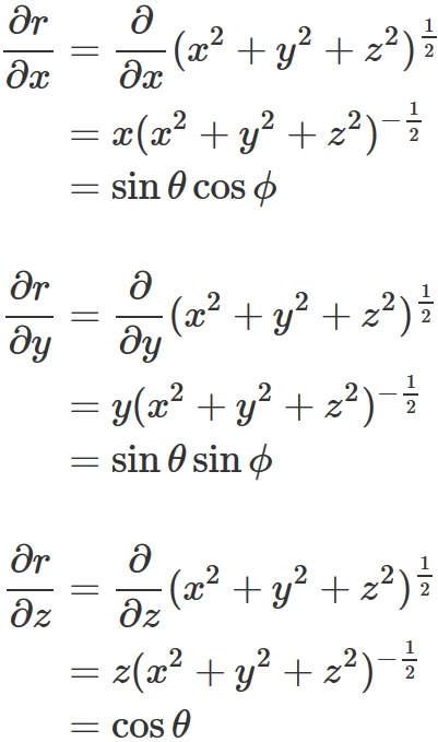
  上の議論で使った偏微分の計算を行う。 $(2)$ より、
であるので、
であることが分かる。
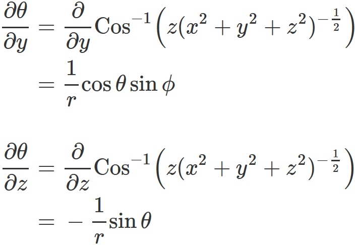
  また、 $(2)$ より、
が示されるので、
と置き、
であることを用いると、 合成関数の微分により、
であることが分かる。 途中の計算で $\sin\theta \geq 0$ (なぜなら $0 \leq \theta \leq \pi$) であることを用いた。 同様の計算により、
が示される。
  $\phi$ の微分については $(2)$ より、
が示されるので、 逆三角関数の微分が
であることを用いると、
が示される。