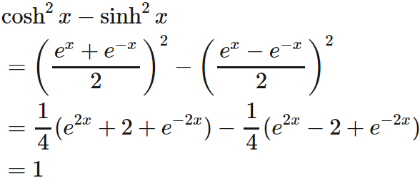
双曲線関数~公式と性質~

定義
  次の関数
双曲線関数という。
  それぞれは、 $\sinh x$ を hyperbolic sine (ハイパボリック・サイン)、 $\cosh x$ を hyperbolic cosine (ハイパボリック・コサイン)、 $\tanh x$ を hyperbolic tangent (ハイパボリック・タンジェント)と呼ばれる。
$\cosh x =$ 青線、 $\sinh x =$ オレンジ線、 $\tanh x =$ 緑線
基本的な性質
  双曲線関数の間には
の関係が成り立つ (補足 参考)。
証明
  第一式:
第二式:
と証明される。

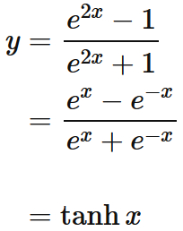
指数関数との関係
定義より、
が成り立つ。
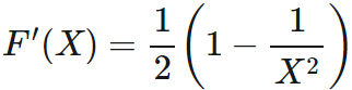
不等式
  双曲線関数には不等式
が成り立つ。

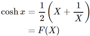
証明 ($\cosh$)
  $e^{x}=X$ とおき、
と定義すると、
である。 $X > 0$ であることに注意すると、 $F'(X) = 0$ となるのは、 $X=1$ のときのみであり、 $X \lt 1$ のとき $F'(X) \lt 0$ であり、 $X > 1$ のとき $F'(X) > 0$ である。
  以上を踏まえて、 $F(X)$ の増減表を表すと、
である。 これより $ F(X) \geq 1 $ である。 すなわち、
である。
証明 ($\sinh$)
  $e^{x}=X$ とおき、
と定義すると、
であるので、$G(x)$ は単調増加関数である。
  また、 $ G(1) = 0 $ であるので、 $G(X)$ の増減表を表すと、
となる。 これより、
である。
  したがって、
である。

  証明 ($\tanh$)
  $\tanh x$ を微分すると、
であるが、 上で示したように $ \cosh x \geq 1 $ であるので、
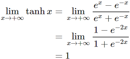
である。 したがって、 $\tanh x$ は単調増加関数である。
  このことと、$x \rightarrow +\infty$ の極限が
であることから、$\tanh x$ が $1$ 以上にならないことが分かる。
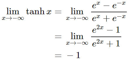
  同様に $x \rightarrow -\infty$ の極限が
であることから、$\tanh x$ が $-1$ 以下にならないことが分かる。
  以上より、
である。

偶/奇関数
 
  • $\cosh x$ は偶関数である。
  • $\sinh x$ と $\tanh x$ は奇関数である。

証明
  関数 $f(x)$ が
を満たすとき、偶関数という。 一方、
を満たすとき、奇関数という (偶関数と奇関数の性質 を参考)。
  $\cosh x$ は
を満たすので偶関数である。
  $\sinh x$ は
を満たすので奇関数である。
  $\tanh x$ は
を満たすので奇関数である。
  偶関数は $y$ 軸対称のグラフを描く。 奇関数は 原点対称のグラフを描く。

加法定理
  双曲線関数には
の関係がある。 これを双曲線関数の加法定理という。
証明
  定義から、
となる。
証明 ($\sinh$)
  定義から、
となる。
証明 ($\tanh$)
  定義 と $\cosh$ と $\sinh$ の加法定理から、
となる。最後の等式では $\cosh x \cosh y \geq 1$ であることを考慮して 分子分母を $\cosh x \cosh y $ で割った。

微分
  双曲線関数の微分はそれぞれ
である。
証明
  定義に従って計算する。

積分
  双曲線関数の(不定)積分は
である (補足2を参考)。
証明
  微分が
であることから、
である。
証明 ($\tanh$)
  $\cosh x = t$ とおき、置換積分を実行する。 $t \geq 1$ であり (不等式を参考)、
であることから (逆双曲線関数を参考)、
である。 また $x\geq 0$ の場合、$\sinh x \geq 0$ であるので、
である (基本的性質不等式を参考)。
  以上から、
を得る。

$\cosh$ の面積 = 長さ
  $\cosh x$ の描く曲線の長さ と $ \cosh x $ と x 軸で囲まれた部分の領域の面積 は等しい。
証明
  $\cosh x$ の積分に対し、
を用いると (不等式基本的性質微分 を参考)
が成り立つ。 一般に 面積は積分によって定義されること、 および、 関数 $f(x)$ の長さが
と表されることから、 上の式は $ \cosh x $ と x 軸で囲まれた部分の領域の面積 が $\cosh x$ の描く曲線の長さ に等しいことを表している。

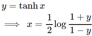
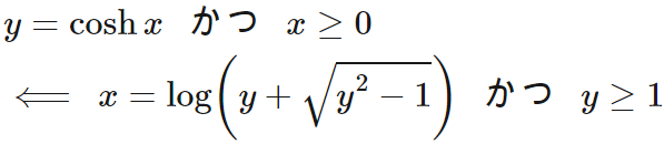
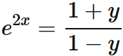
逆双曲線関数
  各双曲線関数には次のような逆関数がある。
これらは逆双曲線関数と呼ばれる。

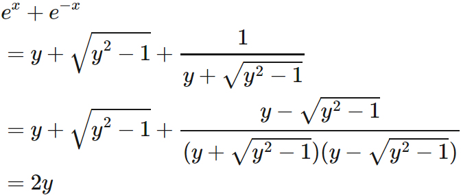
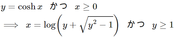
証明 ($\cosh$)
  はじめに
を証明する。
  $ x\geq 0$ のもとで
とすると、
である (不等式を参考)。 また、
であるので、
である。
  ここで
が成り立つことに着目すると (基本的性質を参考)、
と表されるが、 $x \geq 0$ のときは、
であるので (不等式を参考)、
である。
  したがって、
である。
  続いて
を証明する。
 
とする。 $y \geq 1$ であるので、
である。 したがって、
である。
  また、
であることから、
が成り立つ。 したがって、
である。
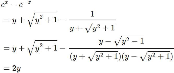
証明 ($\sinh$)
  はじめに
を証明する。
 
とする。
であるので、
である。
  ここで
が成り立つことから (基本的性質不等式を参考)
と表される。
  したがって、
である。
  続いて
を証明する。
 
とすると、
であることから、
が成り立つ。 したがって、
である。
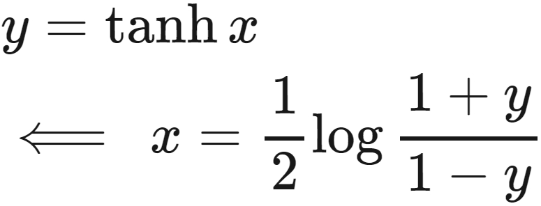
  証明 ($\tanh$)
  はじめに
を証明する。
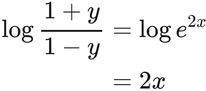
  定義から
であるので、
が成り立つ。ゆえに、
である。
  続いて
を証明する。
 
とすると、
である。 これより、
が成り立つ。

補足1:
  双曲線関数を
と表すと、
という関係は、
と表される。
  したがって、$X$ と $Y$ は双曲線を成す。
補足2:
  $\tanh x$ の積分を $x \geq 0$ の積分範囲に限定して求めたが、 $x \lt 0$ のの範囲を含めて値を求めたい場合には、 $\tanh x$ が奇関数であることことから、
が成り立つことを利用して値を求めればよい。