相関係数の絶対値は1以下  

  確率変数 $X$ と $Y$ の相関係数 $\rho(X, Y)$ を
相関係数
と定義する。 ここで$E(\cdot)$ と $V(\cdot)$はそれぞれ括弧の中に含まれる確率変数の期待値と分散である。
  このとき、 $\rho$ の絶対値は $1$ 以下である。 すなわち、
相関係数の絶対値は1以下
が成り立つ。

  証明

  離散的な場合
確率変数 $X$ と $Y$ がそれぞれ $m$ 個 と $n$ 個の値
を取りうるものとし、 $X=x_{i}$、$Y=y_{j}$ となる同時確率を
と表す。
  このとき、 $X$ と $Y$ の期待値はそれぞれ
であり、 分散はそれぞれ
である。 これらによって相関関数は、
と定義される。 ここで $E \left((X-E(X))(Y-E(Y)) \right)$ の部分は、 $ (X-E(X))(Y-E(Y)) $ の期待値であるので、
である。 これより
と表せる。
  ここで $i=1,2,\cdots,m$、 $j=1,2,\cdots,n$ に対して
を定義すると相関係数は
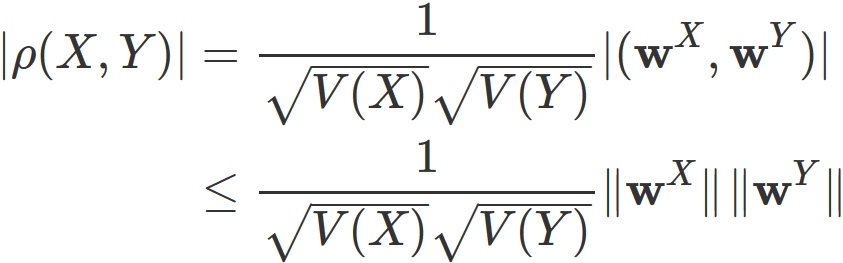
と表されるが、 $\mathbf{w}^{X}$ と $\mathbf{w}^{Y}$ をそれぞれ $w^{X}_{ij}$ と $w^{Y}_{ij}$ を成分に持つ $mn$ 次元のベクトル
として定義すると、 これらの間の内積が
であることから、 相関係数は内積によって
と表される。
  するとシュワルツの不等式により、
が成立する。
  ここで現れた二つのノルムは、 $\mathbf{w}^{X}$ と $\mathbf{w}^{Y}$ の定義、 および分散の定義により、
である。 ゆえに
が成り立つ。 すなわち、 相関係数の絶対値は1以下である。
連続的な場合
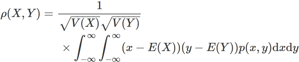
  確率変数 $X$ と $Y$ の同時確率分布(同時確率密度関数)を $p(x,y)$ と表すとき、 それぞれの期待値は、
であり、 分散は
である。 これらによって相関関数は、
と定義される。 ここで $E \left((X-E(X))(Y-E(Y)) \right)$ の部分は、 $ (X-E(X))(Y-E(Y)) $ の期待値であるので、
である。 これより
と表せる。
  ここで関数 $f_{X}(x,y)$ と $f_{Y}(x,y)$ を
と定義すると相関係数は
と表されるが、 積分の部分を
と定義すると、
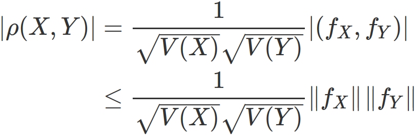
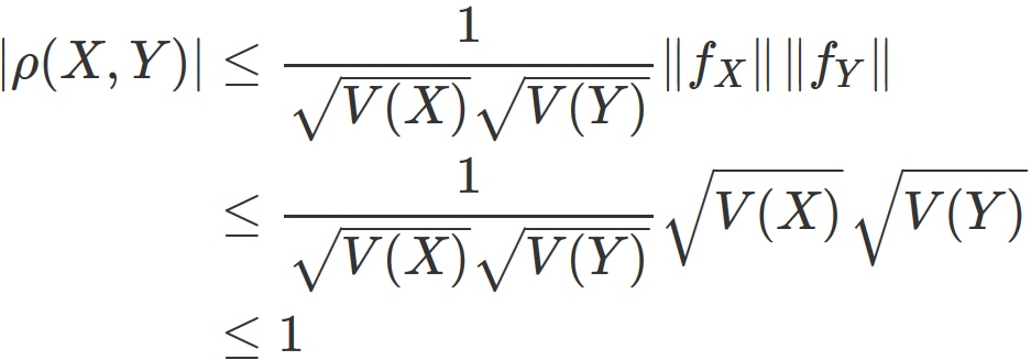
と表され、 $(f_{X}, f_{Y}) $ が内積の性質を満たすことが示される(補足)。 従ってシュワルツの不等式によって
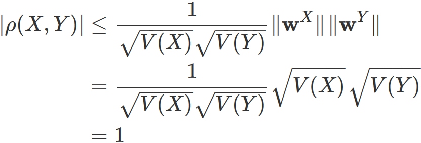
が成り立つ。 これより、
が成り立つ。
  右辺のノルムの部分は、 $f_{X}$ の定義および分散 $V(X)$ の定義から
であり、 同様に
である。 以上から、
が成り立つことが分かる。 すなわち、 相関関数の絶対値は $1$ 以下である。
補足:
  次のように積分によって定義した記号
が内積の定義を満たすことを示す。
$(1)$   任意の $f_{X}$, $f_{Y}$ に対して、
が成り立つ。
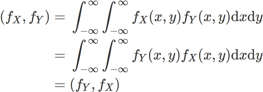
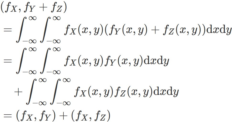
$(2)$   任意の $f_{X}$, $f_{Y}$, $f_{Z}$ に対して、
が成り立つ。
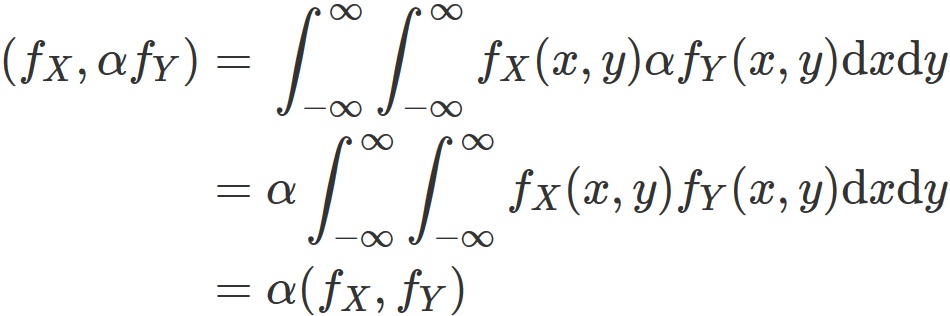
$(3)$   任意の $\mathbf{u}$, $\mathbf{v}$, 実数 $\alpha$ に対して、
が成り立つ。
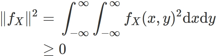
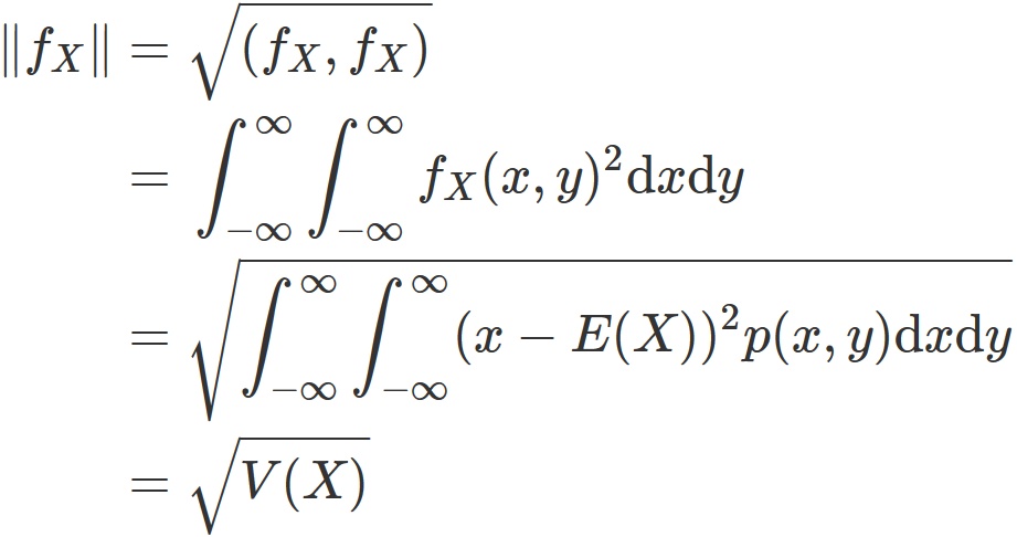
$(4)$   任意の $f_{X}$ に対して、
が成立する。 等号が成立するのは、$f_{X} = 0$ のときのみである。 すなわち、
が成り立つ。
  以上の$(1)$-$(4)$の性質が満たされるので、 $(f_{X}, f_{Y})$ は実ベクトル空間上の内積である。 従ってシュワルツの不等式
が成立する。