関数の台 

関数の台 (support)
- 定義
- 具体例

閉台 (closed support)
- 準備 (閉包)
- 定義
- 具体例

コンパクトな台 (compact support)
- 定義
- 具体例

その他
- 行列の台
- 核 (kernel) との関係

台 (support) の定義
  関数 $f(x)$ の定義域 $X$ 全体の中で、 $f (x)$ が $0$ にならない部分を $f$ の (support) といい、 $\mathrm{supp}(f)$ と表す。 すなわち、
台 (support)
である (以下の例を参考)。

  (1)   関数
の台 $ \mathrm{supp}(f) $ は、$x \gt 0$ である。
supportの例
(2)   関数
の台 $ \mathrm{supp}(f) $ は、 $- \pi \lt x \lt \pi $ である。

閉包 (closure)
  例を使って説明する。 ある部分集合 $S$ の境界を含ませた集合を $S$ の閉包といい、 $\mathrm{cl} \hspace{1mm}S$ と表される。 次の例が分かり易い。 区間
台 (support)
は $-1$ と $+1$ を含まない。 これに境界 $-1$ と $+1$ を追加した区間 が $S$ の閉包である。 すなわち、
台 (support)
である。
閉包 (closure) の例
閉台 (closed support)
  関数 $f(x)$ の定義域 $X$ 全体の中で、 $f (x)$ が $0$ にならない部分の閉包を $f$ の閉台 (closed support) といい、 $\mathrm{supp}(f)$ と表す (台 (support) と同様の表し方)。 すなわち、
閉台 (closed support)
である。

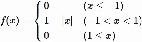
  (1) 関数
閉台 (closed support)
は、開区間 $(-1,\hspace{1mm}1)$ で $f(x) \neq 0$ であるが、 $(-1,\hspace{1mm}1)$ の閉包は、 閉区間 $[-1,\hspace{1mm}1]$ である。ゆえに、$f$ の閉台
である。
閉台 (closed support) の例
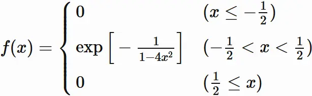
(2) 関数
は、開区間 $(- \frac{1}{2},\hspace{1mm} \frac{1}{2})$ で $f(x) \neq 0$ であるが、 $(- \frac{1}{2},\hspace{1mm} \frac{1}{2})$ の閉包は、 閉区間 $[- \frac{1}{2},\hspace{1mm} \frac{1}{2}]$ である。ゆえに、$f$ の閉台
である ($f$ はテスト関数と呼ばれる)。
閉台 (closed support) の例

コンパクトな台 (compact support)
  関数 $f(x)$ の台 (support)有界のとき、 コンパクトな台 (compact support) という。

  上記の閉台の例 (2) では、$f$ の台が
と有界である。 ゆえに、$f$ はコンパクトな台を持つ。

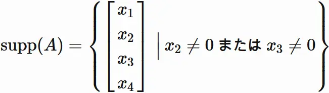
行列の台
  行列 $A$ の台 (support) は、 $A$ を掛けたときに、 ゼロベクトルにならないベクトルの全体である。

  行列
をベクトル
に掛けると、
であるので、ゼロベクトルにならない。 よって、$\mathbf{x}$ 全体の集合が $A$ の台である。 すなわち、
である。
核 (kernel) との関係
  $A$ を掛けたときにゼロベクトルにならないベクトルの全体が $A$ の台 (support) である。 一方、 $A$ を掛けたときにゼロベクトルになるベクトルの全体が $A$ の核 (kernel) である。 よって、$A$ の台は $A$ の核の補集合である。 すなわち、 \begin{eqnarray} \mathrm{supp}(A) = \overline{\mathrm{Ker}\hspace{0.5mm} A} \end{eqnarray} が成り立つ。