Kernel と nullity とは?

Kernel カーネル 核
  本ページでは話を簡潔にするため、 実ベクトル空間上の線形写像について議論する。
Kernel (核) の定義
  ベクトル空間 $U$ からベクトル空間 $V$ への線形写像
において、 $f$ のが $V$ の零ベクトル $ \mathbf{0}_{V} $ になる $U$ の全体、 すなわち、
を満たす $\mathbf{u} \in U $ の全体を $f$ の Kernel (核) といい、 $\mathrm{Ker}\hspace{0.5mm} f$ と表される。 記号で表すと、
核 Kernel
である。
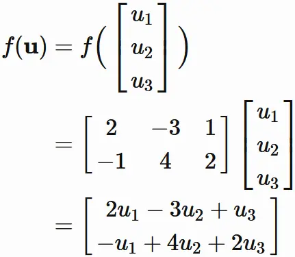
Kernel (核) の例1
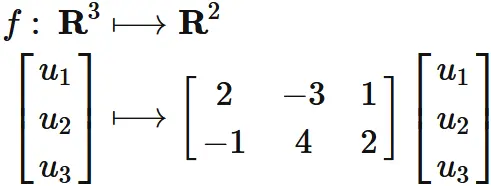
  $3\times 1$ の実行列 $\mathbf{R}^{3}$ の任意の行列を
と表す。このとき、 $\mathbf{R}^{3}$ から $\mathbf{R}^{3}$ への写像
$$ \tag{2.1} $$ の Kernel を求めよ。

解答
  Kernel の定義に従って、
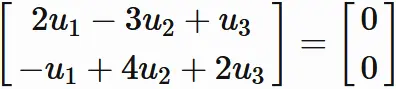
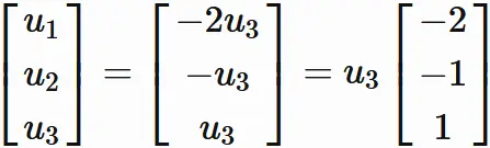
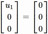
$$ \tag{2.2} $$ とする。ここで、
である。 $(2.1)$ より、
であるので、 $(2.2)$ は
と表される。 これより、 $u_{1}=0$ であるので、 $f$ の Kernel は、
と表される行列の全体である。 記号で表すと、
$$ \tag{2.3} $$ である。 $(2.3)$ が $f$ の Kernel であることは $(2.1)$ から容易に確かめられる。

Kernel (核) の例2
  $3\times 1$ と $ 2 \times 1$ の実行列をそれぞれ $\mathbf{R}^{3}$ と $\mathbf{R}^{2}$ とする。 $\mathbf{R}^{3}$ の任意の元を
と表す。 このとき、 $\mathbf{R}^{3}$ から $\mathbf{R}^{2}$ への写像
$$ \tag{3.1} $$ の Kernel を求めよ。
解答
  Kernel の定義に従って、
$$ \tag{3.2} $$ とする。ここで、
である。
であるので、 $(3.2)$ は
と表される。 これより、
であるので、 $(3.2)$ を満たすのは (すなわち、$f$ の Kernel は)、
と表されるベクトルの全体である。 記号で表すと、
$$ \tag{3.3} $$ である。
  $(3.3)$ が $f$ の Kernel であることは $(3.1)$ より
と確かめられる。

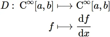
Kernel (核) の例3
  区間 $[a,b]$ 上の $\mathrm{C}^{\infty}$ 級関数導関数に変換する写像 (つまり微分する写像)
の Kernel を求めよ。
解答
  Kernel の定義に従って
とする。
であるので、
と表される。 これより、 $f$ は定数である。 すなわち、 $D$ の Kernel は定数関数である。 記号で表すと、
である。

Kernel (核) は部分空間をなす
  ベクトル空間 $U$ からベクトル空間 $V$ への線形写像
Kernel は、 $U$ の部分空間を成す。 これを核空間 (kernel space) または零空間 (null space) という。
解答
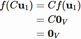
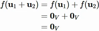
  $\mathbf{u}_{1}, \mathbf{u}_{2} \in \mathrm{Ker}\hspace{1mm} f$ とすると、
$$ \tag{5.1} $$ である。 ここで、 $\mathbf{0}_{V}$ は $V$ の零ベクトルである。 このとき、
が成り立つ。 一つ目の等号では $f$ が線形写像であること、 二つ目の等号では $(5.1)$、 三つ目の等号では 零ベクトルの性質を用いた。 これより、
$$ \tag{5.2} $$ である。 同様に、 任意の $C \in \mathbf{R}$ に対して、
が成り立つ。 ここで、 一つ目の等号では $f$ が線形写像であること、 二つ目の等号では $(5.1)$、 三つ目の等号では 零ベクトルの基本定理を用いた。 これより、
$$ \tag{5.3} $$ である。 以上の $(5.2)$ と $(5.3)$ から、 $ \mathrm{Ker}\hspace{1mm} f$ は部分空間を成す。

nullity (退化次数)
  線形写像 $f$ の核空間次元を $f$ の nullity (退化次数)といい、
退化次数 nullity
と表す。
nullity (退化次数) の 例1
  $3\times 1$ の実行列 $\mathbf{R}^{3}$ の任意の行列を
と表す。このとき、 $\mathbf{R}^{3}$ から $\mathbf{R}^{3}$ への写像
nullity (退化次数) を求めよ。
解答
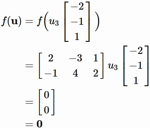
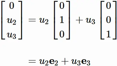
  上で示したように、 $f$ の Kernel は、
である。 ここで、
と置くと、 $\{\mathbf{e}_{2}, \mathbf{e}_{3}\}$ は線形独立であり、 右辺を
と表されることからわかるように、 $\mathrm{Ker} \hspace{1mm} f $ の次元は $2$ である。 よって、 $f$ の nullity (退化次数) は
である。

nullity (退化次数) の例2
  $3\times 1$ と $ 2 \times 1$ の実行列をそれぞれ $\mathbf{R}^{3}$ と $\mathbf{R}^{2}$ とする。 また、 $\mathbf{R}^{3}$ の任意の元を
このとき、 $\mathbf{R}^{3}$ から $\mathbf{R}^{2}$ への写像
nullity (退化次数) を求めよ。
解答
  上で示したように、 $f$ の Kernel は、
である。 右辺は明らかに
基底とする $1$ 次元ベクトル空間を成すので、 $\mathrm{Ker} \hspace{1mm} f $ の次元は $1$ である。 よって、 $f$ の nullity (退化次数) は
である。

次元定理
  ベクトル空間 $U$ からベクトル空間 $V$ への線形写像
に対して、 $f$ のランクnullity (退化次数) の和は、 $U$ の次元に等しい。 すなわち、
次元定理
が成り立つ。
証明
  $\dim U = d$ とし、 以下の3つの場合分けを行う。



(1) の場合
  はじめに
$$ \tag{9.1} $$ とする。 線形写像のランクの定義より、 これは $f$ による $U$ の $\mathrm{Im} \hspace{1mm} f$ の次元が $r$ であることを意味する。 そこで、 $\mathrm{Im} \hspace{1mm} f$ の基底
とする。 これらは $f$ の像であるから、
$$ \tag{9.2} $$ を満たす
が存在する。その一方、
$$ \tag{9.3} $$ とすると、 nullity の定義より、 $\mathrm{Ker}\hspace{0.5mm}f$ の次元が $n$ であるので、 $n$ 個の基底
$$ \tag{9.4} $$ が存在する。 このとき、 $U$ と $V$ の零ベクトルをそれぞれ $\mathbf{0}_{U}$ と $\mathbf{0}_{V}$ とし、
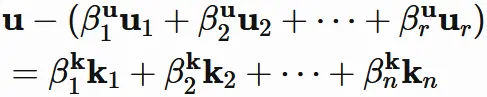
$$ \tag{9.5} $$ とすると、
$$ \tag{9.6} $$ である。 最後の等号では線形写像の零ベクトルに対する性質を用いた。 また、
であるので、
が成り立つ。 これと $f$ の線形性、 $(9.2)$ および零ベクトルの性質から、
$$ \tag{9.7} $$ である。 $(9.6)$ と $(9.7)$ から
$$ \tag{9.8} $$ が成り立つ。 $ \{ \mathbf{e}_{i} \} $ は基底であるので線形独立である。 ゆえに、 $(9.8)$ から
を得る。これより、 $(9.5)$ は
と表される。$\{{\mathbf{k}}_{i} \}$ は線形独立であるので、
を得る。以上から
が成り立つことが分かる。 よって、
$$ \tag{9.9} $$ である。
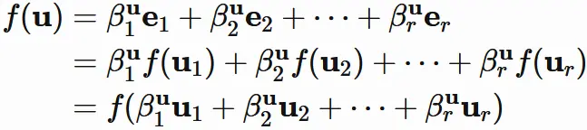
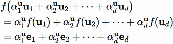
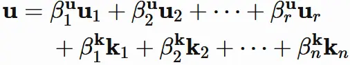
  任意の $\mathbf{u} \in U$ に対し、 $f(\mathbf{u}) \in \mathrm{Im}\hspace{0.5mm} f$ であり、 $ \{ \mathbf{e}_{i} \} $ は $\mathrm{Im}\hspace{0.5mm} f$ の基底であるので、
と表せる。二つ目の等号では $(9.2)$、 三つ目の等号では $f$ の線形性を用いた。これより、
であるので、
である。 したがって、 基底 $(9.4)$ によって、
と表せる。ここで $\beta^{\mathbf{k}}_{i}$ は係数である。 これより、
である。 $(9.9)$ より、 上式は $U$ の任意のベクトルが $r+k$ の線形独立なベクトルによって表せることを意味する。 よって、 $U$ の次元は $r+k$ である。 すなわち、
である。 二つ目の等号では $(9.1)$ と $(9.3)$ を用いた。



(2) の場合
  ランクの定義より、
である。 $f$ の像は次元を持たない。 つまり、 $f$ の像には線形独立なベクトルが一つもない。 言い換えると、 $f$ の像は零ベクトルである。
全ての $U$ のベクトルが $\mathbf{0}_{V}$ に写像されるので、 $\mathrm{Ker}\hspace{0.5mm}f$ は $U$ の全体である (Kernelの定義を参考)。 すなわち、
である。 これと nullity の定義から、
が成り立つ。



(3)の場合
  はじめに
$$ \tag{9.10} $$ とする。 線形写像のランクの定義より、 これは $f$ による $U$ の $\mathrm{Im} \hspace{1mm} f$ の次元が $d$ であることを意味する。 そこで、 $\mathrm{Im} \hspace{1mm} f$ の基底
とする。 これらは $f$ の像であるから、
$$ \tag{9.11} $$ を満たす
が存在する。 このとき、 $U$ と $V$ の零ベクトルをそれぞれ $\mathbf{0}_{U}$ と $\mathbf{0}_{V}$ とし、
$$ \tag{9.12} $$ とすると、
$$ \tag{9.13} $$ である。 最後の等号では線形写像の零ベクトルに対する性質を用いた。 これと $f$ の線形性と $(9.11)$ から、
$$ \tag{9.14} $$ である。 $(9.13)$ と $(9.14)$ から
$$ \tag{9.15} $$ が成り立つ。 $ \{ \mathbf{e}_{i} \} $ は基底であるので線形独立である。 ゆえに、 $(9.15)$ から
が成り立つことが分かる。 よって、
$$ \tag{9.16} $$ である。 そこで、 零ベクトルではない任意の $\mathbf{u} \in U$ を
と表すと、 $(9.11)$ から
である。 これは、 $U$ のベクトルには、$f$ によって 零ベクトルにはなるものがないことを意味している。 よって、 $f$ の Kernel の次元は $0$ である。 すなわち、
である。 これと nullity (退化次数) の定義から
が成り立つ。

台 (support) との関係
  行列 $A$ を掛けたときにゼロベクトルになるベクトルの全体が $A$ の核 (kernel) である。 一方、 $A$ を掛けたときにゼロベクトルにならないベクトルの全体が $A$ の台 (support) である。 よって、$A$ の核は $A$ の台の補集合である。 すなわち、 \begin{eqnarray} \mathrm{Ker}\hspace{0.5mm} A = \overline{\mathrm{supp}(A)} \end{eqnarray} が成り立つ。