切断べき関数

定義と例
- 定義
- 例1
- 例2

性質
- 微分
- 積分
- 恒等式
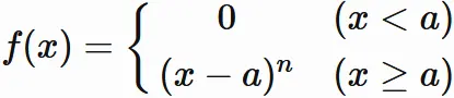
定義
  次の関数
切断べき関数
$$ \tag{1.1} $$ を $n$ 次の切断べき関数 (truncated power function) という。
  以下に例を挙げる。
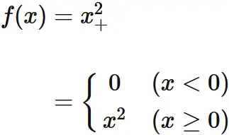
例1
  切断べき関数
は、 $x$ が $0$ より小さいならば $0$ であり、 $0$ 以上であるならば $x^{2}$ であるので、以下のように図示される。
切断べき関数 x^2
例2
  切断べき関数
切断べき関数の例
は、 $x$ が $2$ より小さいならば $0$ であり、 $2$ 以上であるならば $(x-2)^{3}$ であるので、以下のように図示される。
切断べき関数 x^2
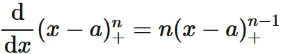
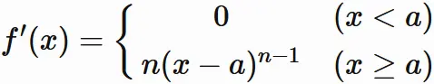
微分 (導関数)
  切断べき関数の導関数は、
切断べき関数の微分(導関数)
である。
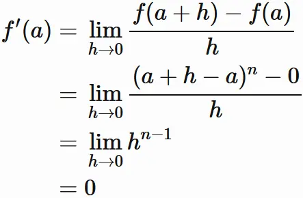
証明
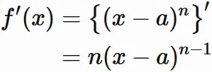
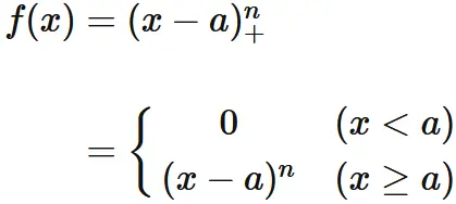
  $f(x) = (x-a)_{+}^{n}$ とすると、 切断べき関数の定義より、
であるので、 $x \lt a$ の場合、
である。 $x = a$ の場合、 微分の定義から
$x \gt a$ の場合、
である。 以上から、
が成り立つ。

積分
  切断べき関数の不定積分は、
切断べき関数の積分
である。
証明
  微分して被積分関数となることを示せばよい。 切断関数の微分の公式より、
であるので、
が成り立つ。

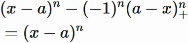
恒等式
  切断べき関数には、 次の恒等式が成り立つ。
切断べき関数の恒等式
$$ \tag{6.1} $$
証明
  切断べき関数の定義を用いる。
  $x \lt a$ 場合、 $(6.1)$ の左辺は、
である。 一方右辺は、 $n$ が偶数の場合、
であり、 $n$ が奇数の場合、
である。
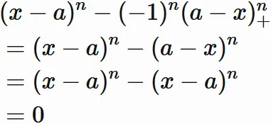
  $x \geq a$ の場合には、 $(6.1)$ の左辺は、
であり、右辺は
である。
  以上から、
が成り立つ。