周期関数について解説   ~具体例・性質 ~

周期関数の定義
  関数 $f(x)$ が
を満たすとき、$T$ を関数 $f(x)$ の周期といい、 $f(x)$ を周期関数という。
具体例
$(1)$ 三角関数
は、 周期 $2 \pi$ の関数である。
$(2)$ 任意の整数 $n$ に対して、 関数 $f_{n}(x)$ を
と定義し、 これを用いて $f(x)$ を
と定義すると、 $f(x)$ は周期 $T$ の関数である。

解説
$(1)$
が成り立つので、 $\sin x$ は周期 $2 \pi$ の関数である。


$(2)$
の区間内では
である。 このとき、 $x+T$ は
の区間内であるので、
である。 以上から、
が成り立つので、 $f(x)$ は周期 $T$ の関数である。

和・差・積・商
  関数 $f(x)$ と $g(x)$ が周期関数のとき、 $h_{+}(x) = f(x) + g(x)$ もまた周期関数である。 すなわち、 \begin{eqnarray} h_{+}(x+T) &=& f(x+T)+g(x+T) \\ &=& f(x) + g(x) \\ &=& h_{+}(x) \end{eqnarray} が成り立つ。 $h_{-}(x) = f(x) - g(x)$ もまた周期関数である (証明略)。 $k(x) = f(x) g(x)$ もまた周期関数である。 すなわち、 \begin{eqnarray} k(x+T) &=& f(x+T)g(x+T) \\ &=& f(x) g(x) \\ &=& k(x) \end{eqnarray} が成り立つ。 $g(x) \neq 0$ とする。 このとき、 $l(x) = \frac{f(x)}{g(x)}$ もまた周期関数である。 すなわち、 \begin{eqnarray} l(x+T) &=& \frac{f(x+T)}{g(x+T)} \\ &=& \frac{f(x)}{g(x)} \\ &=& l(x) \end{eqnarray} が成り立つ。
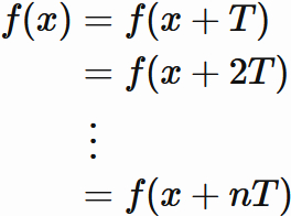
整数倍の周期
  $f(x)$ が周期 $T$ の関数であるとき、 整数 $n$ に対して、
$$ \tag{2.1} $$ が成り立つ。すなわち、 $f(x)$ は周期 $nT$ の関数でもある。
証明
  $f(x)$ が周期 $T$ の関数であるので、 $n$ が正の整数の場合、
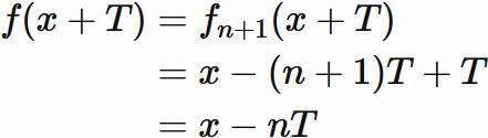
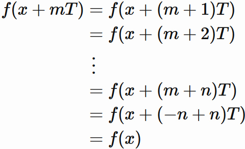
が成り立つ。 $n$ が負の整数の場合、 $m=-n$ と置くと、
が成り立つ。$n=0$ の場合、$(2.1)$ は自明に成り立つ。 したがって、 任意の整数 $n$ に対して $(2.1)$ が成り立つ。

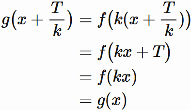
$f(kx)$ の周期
  $f(x)$ が周期 $T$ の関数であるとき、 関数 $f(kx)$ の周期は $\frac{T}{k}$ である。 すなわち、
が成り立つ。
証明
  はじめに
と置くと、 $f(x)$ が周期 $T$ の関数であることから、
が成り立つ。 したがって、$g(x)$ は周期 $\frac{T}{k}$ の周期関数である (すなわち、$f(kx)$ は周期 $\frac{T}{k}$ の周期関数である)。

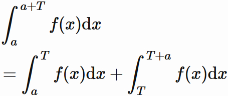
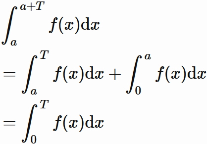
積分範囲が周期の場合
  積分可能でかつ 周期 $T$ の関数 $f(x)$ に対して、
が成り立つ。すなわち、積分区間の幅が周期に等しいならば、どこから積分を開始しても同じ値になる。
証明
  はじめに積分を
$$ \tag{5.1} $$ を分ける。 右辺の第二項に対して $y=x-T$ と置くと、 $f$ が周期 $T$ の周期関数であることから、
と表せるので、 $(5.1)$ に代入すると、
$$ \tag{5.2} $$ が成り立つことが分かる。 $b$ に対しても同様に考えて、
$$ \tag{5.3} $$ が成り立つことが分かるので、
を得る。