ベクトル間の距離

距離の公理
  ベクトル間の距離の公理を定義する ( より一般的な場合であっても本質的な違いはない)。 任意の二つのベクトル $\mathbf{a}$ と $\mathbf{b}$ の実数関数 $d (\mathbf{a}, \mathbf{b})$ が次の3つの性質を満たすとする。
 

$(1)$   対称性
  $\mathbf{a}$ と $\mathbf{b}$ を入れ替えても $d$ は変わらない。
$(2)$   同一性 (非退化性)
  $d$ が $0$ であることと、 $\mathbf{a}$ と $\mathbf{b}$ が等しいことと同値である。
$(3)$   三角不等式
  任意の三つのベクトル $\mathbf{a}$、$\mathbf{b}$、$\mathbf{c}$ に対して、 三角不等式が成り立つ。

このとき、$d (\mathbf{a},\mathbf{b}) $ を $\mathbf{a} $ と $\mathbf{b} $ の間の距離と呼ぶ。 また、上の三つの性質を距離の公理と呼ぶ。
距離の正定値性
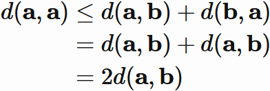
  距離の公理を満たす実関数 $d(\mathbf{a}, \mathbf{b})$ は $0$ 以上である。 すなわち、任意のベクトル $\mathbf{a}$, $\mathbf{b}$ に対して、
が成り立つ。
証明
  距離の公理 $(2)$ より、
である。 また、 距離の公理 $(1)$ と $(3)$ より、
ディリクレ核のコサインの和による表現
が成り立つ。 これらより、
が成り立つことが分かる。

ノルムによる距離
  任意のベクトル $\mathbf{a}$, $\mathbf{b}$ の関数 $d(\mathbf{a}, \mathbf{b})$ を ノルムにより、
と定義すると、 $d(\mathbf{a}, \mathbf{b})$ は距離の公理を満たす。
証明
● 距離の公理 $(1)$ について
  ノルムの性質 により、
と証明される。

● 距離の公理 $(2)$ について
  ノルムの性質 により、
と証明される。

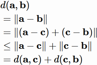
● 距離の公理 $(3)$ について
  ノルムに対する三角不等式を適用すると、
と証明される。

具体例: ユークリッド距離
  $n$ 次元実ベクトル
に対して、
と定義すると、 $d(\mathbf{a}, \mathbf{b})$ は距離の公理を満たす。
証明
● 距離の公理 $(1)$ について
● 距離の公理 $(2)$ について
● 距離の公理 $(3)$ について
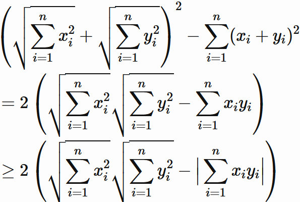
  はじめに
$$ \tag{i} $$ と置く。 このとき、
$$ \tag{ii} $$ が成り立つが、 シュワルツの不等式によって
が成り立つので、 (ii) の右辺は $0$ 以上である。 したがって、
が成り立つ。 これより、
も成り立つが、 (i) を用いて書き換えると、
と表される。 これは、
が成り立つことを表している。