ブーケの公式を解説

ブーケの公式と証明
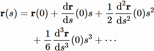
  弧長 $s$ の関数で表される曲線上の一点の位置を $\mathbf{r}(s)$ とする。 弧長が $s$ のときの接ベクトル法線ベクトル従法線ベクトルをそれぞれ $\mathbf{e}_{1}(s)$、$\mathbf{e}_{2}(s)$、$\mathbf{e}_{3}(s)$ とするとき、 $\mathbf{r}(s)$ を
と表すことができる。 ここで $\kappa(s)$ は曲率であり、 $\tau(s)$ は捩率である。 これをブーケの公式という。
証明
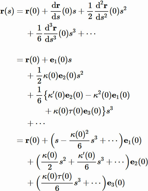
  $\mathbf{r}(s)$ をマクローリン展開すると、
$$ \tag{1.1} $$ と表せる。ここで一階の微分は、 接ベクトルの定義より、
$$ \tag{1.2} $$ であり、二階の微分は、 これとフレネ・セレの公式より、
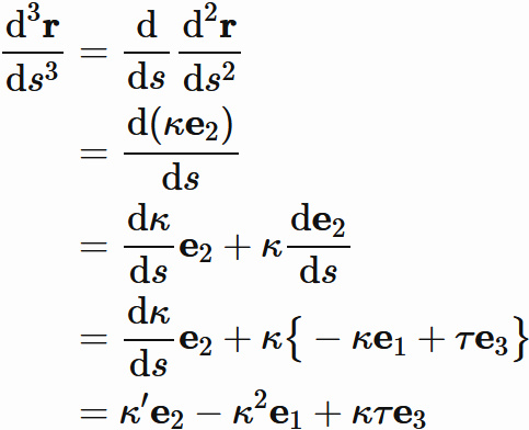
$$ \tag{1.3} $$ である。また三階の微分は、 $(1.3)$ と積の微分の公式フレネ・セレの公式より、
$$ \tag{1.4} $$ である。以上の $(1.2)$ $(1.3)$ $(1.4)$ を $(1.1)$ に代入すると、
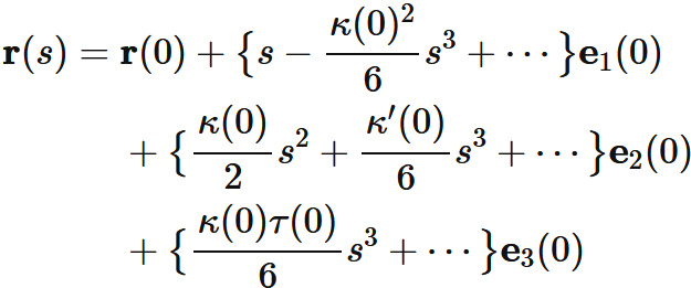
を得る。

補足: ブーケの公式の意味
  ブーケの公式 \begin{eqnarray} \mathbf{r}(s) &=& \mathbf{r}(0) + \big\{ s - \frac{\kappa(0)^2}{6}s^3 + \cdots \big\}\mathbf{e}_{1}(0) \\ &&+ \big\{ \frac{\kappa(0)}{2} s^2 + \frac{\kappa'(0)}{6}s^3 + \cdots \big\}\mathbf{e}_{2}(0) \\ &&+ \big\{ \frac{\kappa(0) \tau(0)}{6}s^3 + \cdots \big\}\mathbf{e}_{3}(0) \end{eqnarray} から、次のことが理解できる。すなわち、 $s=0$ における位置と各ベクトル
  • 位置 $\mathbf{r}(0)$
  • 接ベクトル $\mathbf{e}_{1}(0)$
  • 法線ベクトル $\mathbf{e}_{2}(0)$
  • 従法線ベクトル $\mathbf{e}_{3}(0)$
に加えて、$s$ の関数としての曲率 $\kappa(s)$ と捩率 $\tau(s)$ さえ分かれば、 曲線全体を構成できる。