曲線の理論を解説 ~ 曲率・捩率・フレネ・セレの公式 ~

top
接ベクトル
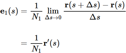
  曲線の端の点からの長さを(弧長)という。 弧長 $s$ の関数で表される曲線上の一点の位置を $\mathbf{r}(s)$ とする。 このとき、弧長が $s$ の位置 $\mathbf{r}(s)$ と $s + \Delta s$ の位置 $\mathbf{r}(s+\Delta s)$ の変化率は、
である (下図)。
この変化率の $\Delta s \rightarrow 0$ の極限を規格化したベクトルを $\mathbf{e}_{1}(s)$ と表す。 すなわち、
$$ \tag{1.1} $$ とする。 ここで $N_{1}$ は規格化定数
であり、 $\| \cdot \|$ はノルムを表す記号である。 $\mathbf{e}_{1}(s)$ を曲線の接ベクトル (tangent vector) という。 接ベクトルは曲線に沿った方向を向く。 また、 規格化されたベクトルであるので、
$$ \tag{1.2} $$ を満たす。 ここで $(\cdot,\cdot)$ は内積を表す記号である。
法線ベクトルと曲率
  $(1.2)$ の 両辺を $s$ で微分することにより、
を得る。 これは $\mathbf{e}'_{1}(s)$ と $\mathbf{e}_{1}(s)$ が直交すること表している。 そこで、 $\mathbf{e}'_{1}(s)$ を規格化したベクトルを $\mathbf{e}_{2}(s)$ と置くと、すなわち、
$$ \tag{2.1} $$ と置くと、 $ \mathbf{e}_{2}(s) $ は接ベクトル $\mathbf{e}_{1}(s)$ と直交する規格化されたベクトルである。 これを法線ベクトル (normal vector) と呼ぶ。 法線ベクトルは接ベクトルと直交する規格化されたベクトルであるので、
$$ \tag{2.2} $$ を満たす。 また、
曲線の曲率
$$ \tag{2.3} $$ と置くと、$(2.1)$ は
$$ \tag{2.4} $$ と表される。 $\kappa(s)$ を曲線の曲率 (curvature) と呼ぶ (パラメータ曲線の曲率を求める公式については、こちらを参考)。 曲率 $\kappa (s)$ は
と表されることから分かるように、 $\mathbf{e}_{1}(s)$ と $\mathbf{e}_{1}(s + \Delta s)$ を含む平面内での $\mathbf{e}_{1}(s)$ の変化率の大きさを表している (下図 は $\mathbf{e}'_{1}(s)$ の図)。
また、 $\mathbf{e}'_{1}(s)$ が $\mathbf{e}_{1}(s)$ と直交することも加味すれば、 次のように言い表される。 すなわち、 $\kappa(s)$ は $\mathbf{e}_{1}(s)$ と $\mathbf{e}_{1}(s + \Delta s)$ を含む平面内での $\mathbf{e}_{1}(s)$ の垂直方向への変化率の大きさを表している。 したがって、 $\kappa(s)$ が大きなところでは、接ベクトルの向きが大きく変化するので、曲線が大きく曲がる。 小さなところでは、曲線があまり曲がらない。 また、$\kappa(s)=0$ のところでは、接ベクトルが変化しないので、直線になる。
従法線ベクトルと接触平面
  曲線の接ベクトルと法線ベクトルが成す平面を接触平面という。 接触平面の法線を従法線ベクトル(binormal vector)といい、
$$ \tag{3.1} $$ によって定義される。 ここで $\times$ は外積を表す記号である。
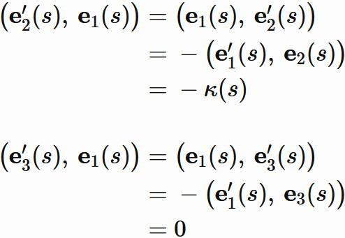
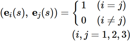
  接ベクトルと法線ベクトルと従法線ベクトルは正規直交基底を成す。 これを証明する。 はじめに $(1.2)$ と $(2.2)$ より、 接ベクトルと法線ベクトルには
が成り立つ。 これと $(3.1)$ と スカラー四重積の公式より、
が成り立つ。すなわち、$\mathbf{e}_{3}(s)$ もまた規格化されたベクトルである。 また、スカラー三重積の公式より、
が成り立つ。同じように
が示せる。 以上をまとめると、
$$ \tag{3.2} $$ が成り立つので、 接ベクトルと法線ベクトルと従法線ベクトルは正規直交基底を成す。
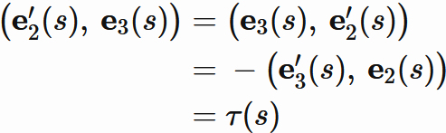
捩率
  接ベクトルと法線ベクトルと従法線ベクトルから成る正規直交基底は、 曲線上の点によって異なる向きを向く (下図)。
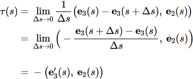
曲線上にあり、弧長が $s$ である点と、 $s + \Delta s$ である点の二点における従法線ベクトルの変化分は
である。これの $\mathbf{e}_{2} (s)$ 成分は
である。 これは接線方向から見たときに、 接触平面がどのくらい傾いたかを表す量であり (下図) 、 曲線の捩れと呼ばれる
top
捩れの変化率は、
であり、 $\Delta s \rightarrow 0$ の極限を 捩率 (torsion) と呼ぶ。 すなわち、捩率を $\tau(s)$ と表すと、
$$ \tag{4.1} $$ である。
フレネ・セレの公式 (3次元)
  接ベクトル $\mathbf{e}_{1}(s)$ と法線ベクトル $\mathbf{e}_{2}(s)$ 従法線ベクトル $\mathbf{e}_{3}(s)$ の間には
の微分方程式が成り立つ。 これを三次元のフレネ・セレの公式 (Frenet–Serret formulas) という。
証明
  $(3.2)$ より $i=1,2,3$ に対して
の関係があるが、 両辺を微分すると、
$$ \tag{5.1} $$ が成り立つことが分かる。 同じように、 $(3.2)$ より $ i\neq j$ の場合に
の関係があるが、 両辺を微分すると、
$$ \tag{5.2} $$ が成り立つことが分かる。
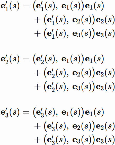
  また、 $\{\mathbf{e}_{1}(s),\mathbf{e}_{2}(s),\mathbf{e}_{3}(s)\}$ が正規直交基底を成すことから、 $\mathbf{e}'_{1}(s)$ と $\mathbf{e}'_{2}(s)$ と $\mathbf{e}'_{3}(s)$ を
と線形結合で表すことができる (正規直交基底による展開を参考)。 $(2.4)$ より、
であるので、
が成り立つ。 これと $(5.2)$ と内積の性質から
を得る。 また、 $(5.1)$ より、
である。 加えて $(4.1)$ より、
であり、 これと $(5.2)$ と内積の性質から
である。 以上から、
の微分方程式が成り立つ。

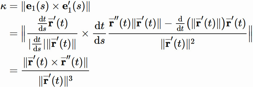
曲率の求める公式
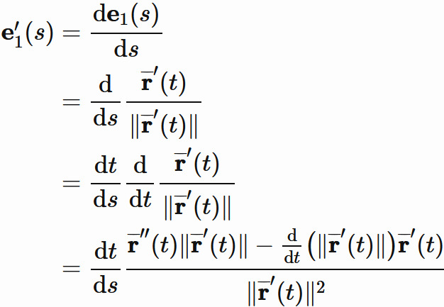
  パラメータ曲線の曲率は
と表される。 ここで $t$ はパラメータであり、 $\overline{\mathbf{r}}'(t)$ は $t$ によって指定される曲線上の位置である。
証明
  フルネセレの公式の第一式
と $(3.1)$ 式を用いると、
が成り立つ。 ここで $(3.2)$ より
であること、および $(2.3)$ より
であることを用いると、 曲率が
$$ \tag{6.1} $$ と表される。 ここで、 $(1.1)$ より $\mathbf{e}_{1}(s) $ は
である。 この中の $\mathbf{r}(s)$ は曲線を弧長パラメータ $s$ で表した場合の曲線上の一点の位置である。 同様に、 同じ曲線を別のパラメータ $t$ で表すことが可能であるが (例えば $t=2s$ とする)、 その場合の位置を $\overline{\mathbf{r}}(t)$ と表すことにする。 すなわち、
とする。 こうすると、 合成関数の微分公式により、
$$ \tag{6.2} $$ と表される。同様に
$$ \tag{6.3} $$ と表される。 以上の $(6.1)$ と $(6.2)$ と $(6.3)$ から、
が得られる。 最後の等号では外積の性質を用いた。

円の曲率 (例題)
  円を描く曲線の曲率は、円の半径の逆数である。 すなわち、
である。
証明
  原点に中心があり、 半径が $r$ の円を考える。 円上の任意の点 $\mathbf{r}$ は、
$$ \tag{7.1} $$ と、$x$ 軸との角度 $\theta$ によって表される。
以下では、 曲率の定義公式の二つの方法で曲率を導出する。
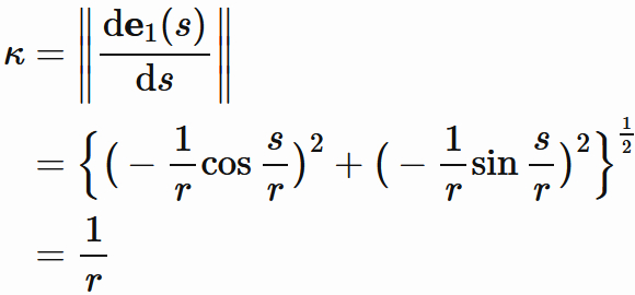
1. 定義から求める
  $\theta = 0$ の点からの曲線の長さ (弧長) は、
である。これより、
であるので、 弧長で表した接ベクトルは、
である。 これより、
であるので、これより、曲率 $\kappa$ は
と求まる。
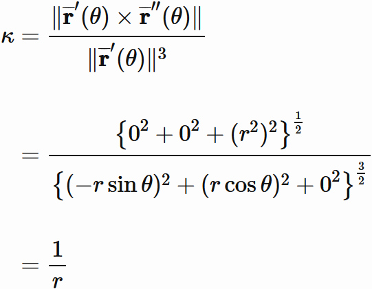
2. 公式を用いる
  計算の便宜上、 $(7.1)$ 式で表される円が $XY$ 平面上に置かれれているとし、 三次元座標に拡大して考える。 すなわち、円の軌道を
と表す。
これより、
であり、 外積の定義から
であるので、 曲率を求める公式より、
と求まる。
補足
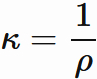
  このように、 円の曲率は半径の逆数である。 この性質は円だけではなく、 接触円を通じて、 一般の曲線にまで拡張される。 すなわち、 曲線上の一点における曲率 $\kappa$ は、 その点で曲線と接触する円 (接触円:下図) の半径 $\rho$ の逆数に等しいことが知られている。
このことから、 接触円の半径を曲率半径という。 上の例題では $\rho = r$ である。