曲線の長さの公式 ~解説と具体例~

パラメータ曲線
準備:   滑らかで交差しない曲線
3次元パラメータ曲線
  $3$ 次元パラメータ曲線とは、 $3$ つの座標のそれぞれが共通のパラメータ $t$ を持つ関数によって、
と表される曲線である(下図)。
パラメータ曲線
滑らかな曲線
  本ページでは、滑らかなパラメータ曲線のみを取り扱う。 パラメータ曲線が滑らかであるとは、 曲線が定義される区間で、

$\hspace{20mm} \bullet$ $x(t)$, $y(t)$, $z(t)$ が微分可能
$\hspace{20mm} \bullet$ $ x'(t)$, $y'(t)$, $z'(t)$ が連続

であるときにいう。 ここで $x'(t)$ は $x(t)$ の導関数を表す。$y'(t)$ と $z'(t)$ についても同様。 厳密には $\mathrm{C}^{\infty}級$ 関数のことを滑らかな関数と呼ぶ。
交差しない曲線
  パラメータ曲線を扱うとき、 通常は パラメータ $t$ と点の位置
が一対一に対応すると仮定される。 この仮定は交差点を持たない曲線のみを考察対象にすることに意味する。 従って、 下の図のような交差を持つ曲線は考察から除外される。
以上の二つの性質、すなわち、
  • 滑らか
  • 交差しない
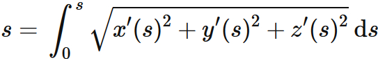
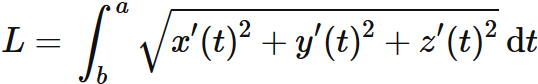
を満たすパラメータ曲線に対して、 以下で述べる曲線の長さ $L$ を定義すると、 $t=a$ の点から $t=b$ の点までの長さが 積分
に等しいという公式を証明し、公式の応用例を紹介するのが、このページの主な内容である。
曲線の長さと公式
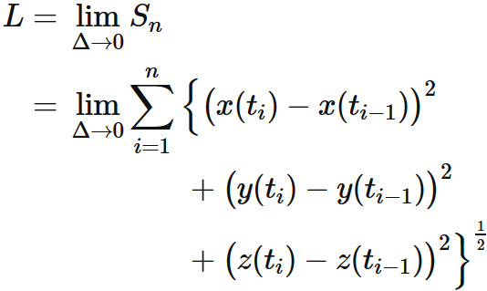
  滑らかで交差しないパラメータ曲線の長さは、 曲線上の点を結ぶ線分の総和の極限によって以下のように定義される。
  曲線の始点を $T_{0}$ と表し、終点を $T_{n}$ と表すことにする。 始点と終点の間に $n-1$ 個の分点を設け、 それらを $T_{1}, T_{2}, \cdots, T_{n-1}$ と表すことにする。 また、これらは始点から終点に向けて順番に並んでいるものとする。
点 $T_{i}$ $(i=0,1,\cdots,n)$ における パラメータ $t$ の値が $t_{i}$ であるとする。 点 $T_{i}$ の座標値は、
と表される。 分点 $T_{i-1}$ と $T_{i}$ を結ぶ線分の長さを $L_{i}$ とすると、
であるので、 全ての線分についての総和を $S_{n}$ と表すと、
である。
  線分を繋いだ線が描く軌跡は、 分点 $T_{i}$ の間隔を小さくすればするほど、 曲線に近づくと直観的に考えられる。
線分の長さの総和 $S_{n}$ もまた、 分点の間隔を小さくすればするほど、 曲線の長さに近づくと考えられる。 分点の間隔を小さくすることは、 パラメータ $t_{i}$ の間隔を小さくすることに相当する。 したがって、 $t_{i}$ の間隔を小さくすればするほど、 $S_{n}$ が曲線の長さに近づくと考えられる。 そこで、 各 $t_{i}$ 間の間隔の最大値
を用いて、 曲線の長さ $L$ を
$$ \tag{1} $$ と定義する。 ここで、 $\Delta$ は間隔の最大値であるので、 $\Delta$ が $0$ に近づくほど、 間隔が小さくなる。 間隔が小さくなればなるほど、 分割数 $n$ の値は大きくなる。 したがって、 $n$ は固定の値ではない。 また、上でも述べたように、 $\Delta$ が $0$ に近づくに従って、 線分の総和 $S_{n}$ は曲線の長さ $L$ に近づくと考えられる。


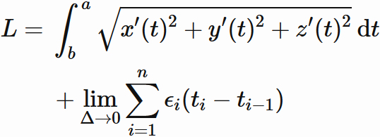
  以上のように曲線の長さを定義したが、 $(2)$ の右辺の極限がどんな曲線に対しても有限な値をとるとは限らない。 だが一方、曲線が滑らかな場合には、
パラメータ曲線の長さ
が成り立つことが知られている。それは以下のように証明される。
証明
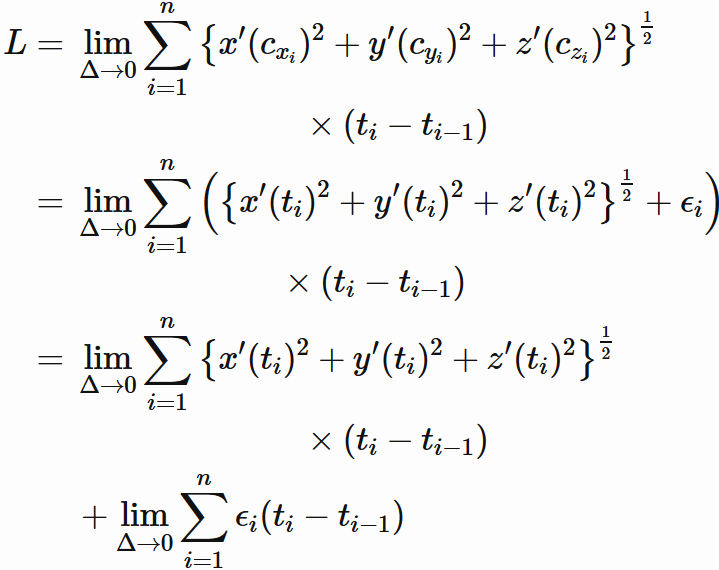
  $(1)$ より、
$$ \tag{2} $$ であるが、 $x(t)$ と $y(t)$ が微分可能であるから、 平均値の定理 より、
を満たす $c_{x_{i}}, c_{y_{i}}, c_{z{i}}$ が区間 $(t_{i}, t_{i-1})$ に存在する。 これより、
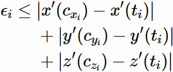
と表される。 ここで $\epsilon_{i}$ を
$$ \tag{3} $$ と定義すると、
と表される。 $x'(t)$ と $y'(t)$ が連続関数であるので、 右辺の一つ目の極限は、定積分
に等しい。よって、
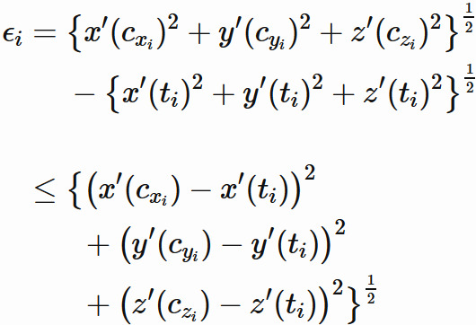
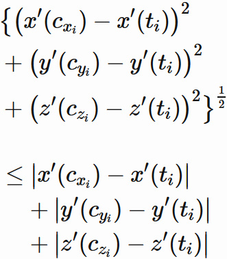
$$ \tag{4} $$ である。 $(3)$ の $\epsilon_{i}$ は、 原点から点 $ (x'(c_{x_{i}}) , y'(c_{y_{i}}), z'(c_{z_{i}}) ) $ までの距離と 原点から点 $ (x'(t_{i}) , y'(t_{i}), z'(t_{i})) $ までの距離の差分である。 そこで、 三角不等式を用いると、
が成り立つことが分かる (証明は補足1を参考)。 さらに右辺は、
を満たす (この不等式は両辺の二乗を考えることによって証明できる) 。 これらより、
$$ \tag{5} $$ が成り立つ。
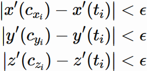
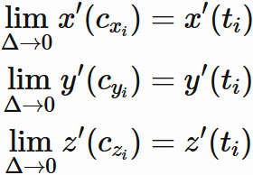
  $\Delta$ を小さくすると、 区間 $(t_{i-1}, t_{i})$ が小さくなる。 $c_{x_{i}}, c_{y_{i}}, c_{z_{i}}$ が区間 $(t_{i-1}, t_{i})$ に含まれるので、 $\Delta$ を小さくすると、 $c_{x_{i}}, c_{y_{i}}, c_{z_{i}}$ がともに $t_{i}$ に近づく。 このとき、 $x'(t)$ と $y'(t)$ が連続関数であるため、 $x'(c_{x_{i}})$ と $x'(c_{y_{i}})$ は、 それぞれ $x' (t_{i})$ と $x'(t_{i})$ に近づく。 すなわち、
が成り立つ。 このことは $\epsilon$ 論法を用いて次のように表される。 すなわち、 任意の $\epsilon \gt 0$ に対して、
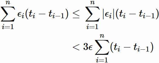
を満たす $\Delta$ が存在する。 このような $\Delta$ をとれば、 $(5)$ より、
が成立し、 その結果
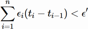
$$ \tag{6} $$ が成立する。 ここで、 右辺の $\sum_{i=1}^{n}(t_{i}-t_{i-1})$ はパラメータ間隔の総和であるので、 終点と始点のパラメータの差に等しい。 すなわち、
である。したがって、任意の $\epsilon \gt 0$ に対して、
$$ \tag{7} $$ を成立させる $\Delta$ が存在することが示された。 そこで、 $\epsilon'$ を
と定義すると、 $\epsilon$ が任意の値なので、 $\epsilon'$ もまた任意の値である。 このことから $(7)$ は次のように言い表される。 すなわち、 任意の $\epsilon' > 0$ に対して
を成立させる $\Delta$ が存在する。 その $\Delta$ 以下の値であれば、 この不等式が成立するので、
$$ \tag{8} $$ である。 ゆえに、 $(4)$ と $(8)$から、
パラメータ曲線の長さ
を得る。

補足1: 三角不等式
  任意のベクトル $\mathbf{a}$ と $\mathbf{c}$ に対して、 三角不等式
$$ \tag{1} $$ が成り立つ。 ここで $\| \cdot \|$ はノルムを表す記号である。
として適用すると、
であるので、 $(1)$ から、
を得る。
具体例
  関数
を曲線と見なしたときの、 $x=4$ の点から $x=6$ の点までの長さを求めよ。

証明
  関数
の描く軌跡は、 パラメータ $t$ を用いて
と表される。 これより、
であるので、曲線の長さの公式より、
を得る。
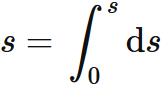
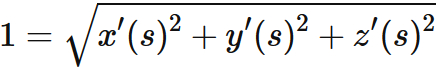
弧長パラメータ
  曲線のパラメータとして曲線の長さを用いる場合、 そのパラメータを弧長パラメータという。 弧長パラメータを $s$ と表すと、 パラメータが $0$ から $s$ までの間の曲線の長さが $s$ そのものであるので、 曲線の長さの公式より、
$$ \tag{1} $$ が成り立つ。 両辺を $s$ で微分すると、
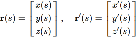
$$ \tag{2} $$ が成り立つことが分かる。 パラメータ $s$ のときの位置ベクトルとその微分を
と表すと、 $(2)$ はノルムの記号を用いて、
と表される。これは弧長パラメータを扱うときよく用いられる公式である。 $(2)$ を $(1)$ に代入すると、
という自明な式になる。