区分的に連続・区分的に滑らか

本ページでは、「区分的に定義される関数」についてを説明を行い、 その上で、時々見掛ける「区分的に連続」「区分的に滑らか」について具体例を挙げながら解説しています。
区分的に定義された関数
  関数の定義域が幾つかの区間に分割され、 各区間ごとに関数が定義されるとき、 関数が区分的に定義される (piecewise-defined) という。
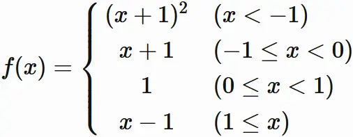
具体例
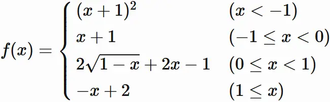
  次の関数は区分的に定義されている
4つの区間の全てを合わせると、 $f(x)$ の定義域 (実数の全体) が覆われる。

区分的に連続な関数
  区分的に定義された関数 $f(x)$ の各区間を分ける境界点を除いた点では連続であり、 どの点でも左極限右極限が収束する (有限な値になる)、 すなわち、任意の点 $a$ に対して、
が成り立つ関数を区分的に連続な関数 (piecewise continuous) という。
具体例
$(1)$   次の関数  
区分的に連続な関数の例
は $x=1$ で不連続であるが、それ以外では連続であり、 どの点でも左極限右極限が存在する。よって、 $f(x)$ は区分的には連続である。

$(2)$   次の関数
区分的に連続な関数の例
は $x=1$ で左極限が存在しない。 よって、 $f(x)$ は区分的には連続ではない。

区分的に滑らかな関数
  関数 $f(x)$ が区分的に連続であり、 どの点でも左微分係数と右微分係数が収束する (有限な値になる)、すなわち、
であるとき、 $f(x)$ が区分的に滑らかであるという。
具体例
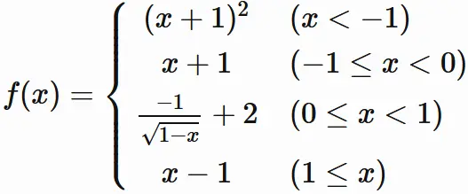
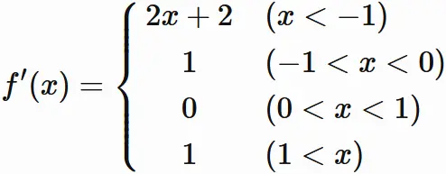
$(1)$   次の関数
区分的に連続であり (下図)、
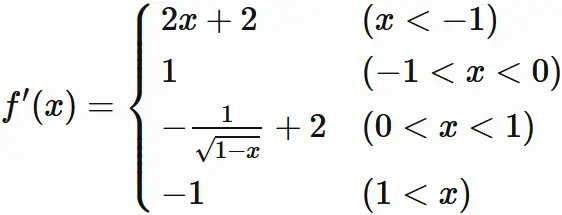
なおかつ、導関数が
であり (下図)、 どの点でも左微分係数と右微分係数が収束することが分かるので、 $f(x)$ は区分的に滑らかな関数である。



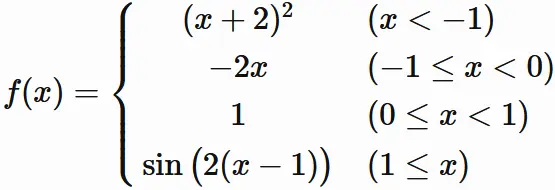
$(2)$   次の関数
は、 どの点でも左極限と右極限が収束するので、 区分的に連続である (下図)。
一方、 導関数が
であり、$x=1$ において左微分係数が収束しないことが分かる (下図)。 よって、 $f(x)$ は区分的に滑らかではない。
以上から、 $f(x)$ は区分的に連続であるが区分的に滑らかではない関数である。

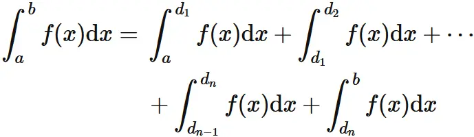
区分的に連続な関数の積分
  区分的に連続な関数は積分可能であり、 各区分ごとの積分の和で表される。 すなわち、
区分的な関数の積分
ここで $d_{1}, d_{2}, \cdots, d_{n}$ は 積分区間 $[a,b]$ に含まれる各区分の境界である。
証明
  一つの区分
$$ \tag{1} $$ に注目する。 $f(x)$ は区分的に連続であるので、 $x=d_{k}$ で右極限を持つ。 その極限値を $R_{k}$ とすると、 任意の $\epsilon \gt 0$ に対し、
$$ \tag{2} $$ を満たす $\delta_{R} \gt 0$ が存在する。 同じように $f(x)$ は $x=d_{k+1}$ で左極限を持つので、 その極限値を $L_{k}$ とすると、 任意の $\epsilon \gt 0$ に対し、
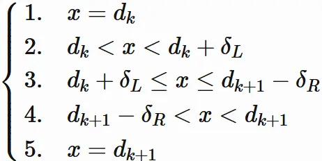
$$ \tag{3} $$ を満たす $\delta_{L} \gt 0$ が存在する。 この $\delta_{R}$ と $\delta_{L}$ を用いて、
の 5 つの区間に分けて考える。



1. $f(x)$ は区間 $[a, b]$ 内で定義された関数であるので、 この区間内では (有限な) 値を持つ。 よって、$x=d_{k}$ において、有限な値 $f(d_{k})$ を持つ。
2. $(2)$ から
が成り立つので、$f(x)$ は有界である。
3. $f(x)$ は区分的に連続な関数であるので、 この区間で連続である。閉区間で連続な関数は最大値と最小値を持つので (「最大値・最小値の定理」)、 $f(x)$ は有界である。
4. $(3)$ を用いて、2. と同様の議論によって、$f(x)$ が有界であることが示される。
5. 1 と同様に $f(x)$ は有限である。


  以上 から $f(x)$ は区分 $(1)$ で有界である。 他の区分に対しても同様に考えることにより、 $f(x)$ は区間 $[a,b]$ 全体で有界であることが分かる。
  有界な関数は (有限個の不連続点があったとしても) 積分可能であるので、 $f(x)$ は積分可能であり、 積分が各区分の積分の和によって表されうる (「有限個の点で不連続 ⇒ 積分可能 」を参考)。 すなわち、
が成り立つ。