球面三角形を解説

球面三角形
  球面三角形は、 互いに交差する三つの円弧 (円弧の中心は球の中心) に囲まれた球面上の領域である。
以下では球面三角形の主要な性質を紹介する。
面積
  半径 $1$ の球上にある球面三角形の面積 $S_{ABC}$ は、
である。 ここで $\alpha,\beta,\gamma$ はそれぞれ球面三角形の内角である。
証明
  半径 $1$ の球上にある三点 $A,B,C$ から成る球面三角形を $ABC$ とする。 球の中心を $O$ とし、 直線 $OA$ 上にあり、$A$ とは反対側で球と交差する点を $A'$ とする。 同様に $B'$ と $C'$ を定義する (下図)。
球面三角形を $ABC$ (表側) と $A'B'C'$ (裏側)
$AA'$, $BB'$, $CC'$ は球の直径を成し、 三点 $A', B', C'$ から成る球面三角形 $A'B'C'$ は、 $ABC$ と合同な球面三角形になる。 従って、 $ABC$ の面積 $S_{ABC}$ と $A'B'C'$ の面積 $S_{A'B'C'}$ の面積は等しい。 すなわち、
$$ \tag{2.1} $$ が成り立つ。
  点 $A,B,C$ における球面三角形の成す角をそれぞれ $\alpha, \beta, \gamma$ とし、 弧 $CA$ を含む円弧と弧 $AB$ を含む円弧によって囲まれた弓形領域 $AA'$ (下図)に着目し、 この領域の面積を $S_{AA'}$ と表す。
弓型領域$ AA'$ (黄色)

弓形領域 $AA'$ は球面三角形 $ABC$ と $A'B'C'$の双方を含む。
  同じように弧 $AB$ を含む円弧と弧 $BC$ を含む円弧によって囲まれた弓形領域 $BB'$ (下図)に着目し、 この領域の面積を $S_{BB'}$ と表す。
弓型領域$ BB'$ (水色)

弓形領域 $BB'$ もまた球面三角形 $ABC$ と $A'B'C'$の双方を含む。
  再び同じように弧 $BC$ を含む円弧と弧 $CA$ を含む円弧によって囲まれた弓形領域 $CC'$ (下図)に着目し、 この領域の面積を $S_{CC'}$ と表す。
弓型領域$ CC'$ (黄緑色)

弓形領域 $CC'$ もまた球面三角形 $ABC$ と $A'B'C'$の双方を含む。
  以上で定義した3つの弓形領域 $AA'$ と $BB'$ と $CC'$ の和集合の領域は、 球面全体を覆う領域になる。 すなわち、
となる。 しかしながら、 3つの弓形領域の面積を全て足し合わせても球面全体の面積 $S$ とは一致しない。 その理由は、 3つの弓形領域が球面三角形 $ABC$ と $A'B'C'$ を共通部分に持つからである。
共通部分 (赤色)

弓形領域の面積の総和を使って球の表面積 $S$ を表すためには、 弓形領域の面積の総和から共通部分である球面三角形 $ABC$ と $A'B'C'$ の面積を差し引かなくてはならない。 具体的には、 それぞれの弓型領域が球面三角形 $ABC$ と $A'B'C'$を一つずつ含むことから、 弓形領域の総和
の中には、 球面三角形 $ABC$ と $A'B'C'$面積がそれぞれ 3 個分ずつ含まれることになるので、 ここから 2 個分の面積を差し引くと球の表面積に等しくなる。 すなわち、
が成り立つ。 この式に $(2.1)$ を代入すると、
$$ \tag{2.2} $$ となる。 後の補足で説明するようにそれぞれの弓形領域の面積は
であり、 半径 $1$ の球の面積は
である。 したがって $(2.2)$ から
が成り立つ。 ここから
を得る。
補足: 弓形の面積
  上で定義した弓形領域 $AA'$ の面積を求める。 この領域は弧 $CA$ を含む平面 $P_{CA}$ と弧 $AB$ を成す平面 $P_{AB}$ で球の表面を切り取った領域である。 図から示唆されるようにこの領域は角度 $\alpha$ に比例する。
点 $A$ の真上から見た図
ゆえに
と表せる ($K$ は比例定数) 。 球面から弓型領域 $AA'$ を取り除いた領域もまた平面 $P_{CA}$ と平面 $P_{AB}$ で球の表面を切り取った領域であり、 こちらの場合には成す角が $\pi - \alpha$ であるので、 この領域の面積 $T_{AA'}$ とすると、
と表せる。 双方を合わせると、 球の表面積に一致するので、
が成り立つ。 これらから
であることが分かる。 ゆえに
である。

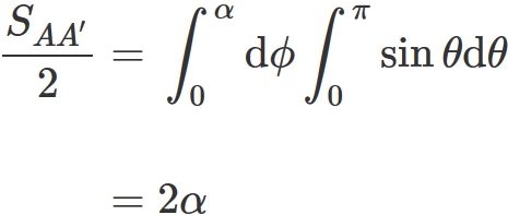
  より厳密に議論する場合には、 半径 $1$ の球面の面積を極座標表示した積分によって表す式
を導くときと同様に考えるとよい。 球の表面積の場合は、 球面の全てを覆うように積分範囲を指定する必要があったが、 弓形領域の半分の領域
弓形領域の半分の領域 (黄色)

の面積を求める場合は、 $\phi$ に関する積分範囲を $\alpha$ にすると、その領域が覆われる。 ゆえに弓形領域の半分の面積は
となる。 これから $S_{AA'} = 4\alpha$ を得る。

内角 (余弦定理)
  半径 $1$ の球上にある球面三角形の内角 $\alpha$ は、
球面三角形の内角を与える余弦定理
によって与えられる。 ここで $a,b,c$ がそれぞれ球面三角形を成す弧の角度である (下の図を参考)。 この式を球面三角形に関する余弦定理という。
  この関係式を用いると、 球面三角形の内角を中心角(または弧の長さ)から求めることができる。
証明
  原点 $O$ を中心とする半径 $1$ の球上にある $3$ 頂点 $A,B,C$ によって構成される球面三角形を考える(下図参考)。
  点 $A$ における弧 $AB$ の 接ベクトルを $\mathbf{l}_{AB}$、 同じく点 $A$ における弧 $AC$ の 接ベクトルを $\mathbf{l}_{AC}$ と表し、 弧 $AC$ と 弧 $AB$ の成す角を $\alpha$ を、 これらの接ベクトルのなす角によって定義する。 すると、 内積とコサインの関係から
が成り立つ。 これより、
$$ \tag{3.1} $$ である。 よって、 接ベクトル $\mathbf{l}_{AB}$ と $\mathbf{l}_{AC}$ が求まれば、 角度 $\alpha$ が求まる。
  3点 $O$, $A$, $B$ を通り、 弧 $AB$ を通る平面を $P$ とする。 接ベクトル $\mathbf{l}_{AB}$ は弧 $AB$ に接するベクトルであるので、 平面 $P$ 上にある (下図)。
平面 $P$ の法線ベクトルを $\mathbf{m}$ とすると、 $\mathbf{m}$ と $\mathbf{l}_{AB}$ は直交する。
$$ \tag{3.2} $$ 平面 $P$ の 法線ベクトル $\mathbf{m}$ は、 平行でない平面上の二つのベクトルの外積と平行なベクトルである (「法線=外積」を参考)。 したがって、
$$ \tag{3.3} $$ である。 $(3.2)$ と $(3.3)$ から
$$ \tag{3.4} $$ であることが分かる。
  一方、 接ベクトル $\mathbf{l}_{AB}$ は、 点 $A$ における球の接平面 $S_{\small A}$ 上にあるベクトルである(下図)。
したがって、 $S_{\small A}$ の法線ベクトル $\mathbf{n}$ と直交する。
また、 $\mathbf{n}$ は球の中心 $O$ と点 $A$ を結ぶベクトル $\vec{OA}$ と平行なベクトルである。
これらから $\mathbf{l}_{AB}$ は $\vec{OA}$ と直交することが分かる。 すなわち、
$$ \tag{3.5} $$ である。
  $(3.4)$ と $(3.5)$ から、 $\mathbf{l}_{AB}$ はベクトル $\vec{OA} \times \vec{OB}$ とベクトル $\vec{OA}$ の両方と直交するベクトルである。 したがって、 $\mathbf{l}_{AB}$ を
$$ \tag{3.6} $$ と表すことができる。 ここで $C_{AB}$ は定数である (「法線=外積」を参考)。 また、 $\mathbf{l}_{AB}$ は弧 $AB$ における $A$ から $B$ に向かう方向に向く接ベクトルであるので、 $C_{AB}$ は正である (下図参考)
図
右辺をベクトル三重積の恒等式を用いて表すと、
となる。 ここで $A$ が半径 $1$ の球上の点であることから、
であること用いた。 同じように考えると、 $\mathbf{l}_{AC}$ を
$$ \tag{3.7} $$ と表せることが分かる。 ここで $C_{AC}$ は正の定数である。
  さて、 弧 $AB$、$BC$、$CA$ の中心角をそれぞれ $a, b, c$ とする。 ただし、 $0 \lt a, b, c \lt \pi$ とする。
● 補足: 弧の中心角。 弧の半径が $1$ であるので、 中心角 $a$、$b$、$c$ は、 それぞれ弧 $BC$ の長さ、弧 $CA$ の長さ、 弧 $AB$ の長さに等しい (一般に角度は半径 $1$ の円の弧の長さによって定義される)。
  角度 $a$ が $\vec{OB}$ と $\vec{OC}$ のなす角、 角度 $b$ が $\vec{OC}$ と $\vec{OA}$ のなす角、 角度 $c$ が $\vec{OA}$ と $\vec{OB}$ のなす角であるので、 内積とコサインの関係から
が成り立つ。 ここで 点 $A,B,C$ がいずれも半径 $1$ の球上にある点であることから、
であることを用いた。 これらを $(3.6)$ $(3.7)$ に代入すると、
となるので、
である。 また、
である。 ここで $0 \lt a \lt \pi$ としたことと、 $C_{AB}$ が正であることを用いた。 同様に
である。 以上を $(3.1)$ に代入すると、
を得る。