コーシー・リーマンの関係式とは? ~証明・具体例~

正則関数 $\hspace{1mm} \Longrightarrow \hspace{1mm}$ コーシー・リーマンの関係式
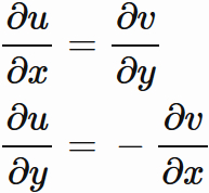
  関数 $f(z)$ が領域 $D$ で正則な $C^{1}$ 級関数 であるとする。 このとき、 $D$ の任意の点 $z=x+iy$ において、 $f(z)$ の実数部分 $u(x,y)$ と虚数部分 $v(x,y)$ には、 次の関係式
コーシー・リーマンの関係式
が成り立つ。また、 $ \frac{\partial u}{\partial x}, \frac{\partial u}{\partial y}, \frac{\partial v}{\partial x}, \frac{\partial v}{\partial y} $ は連続関数である。 上記の関係式を コーシー・リーマンの関係式 (Cauchy-Riemann equations) という。
証明
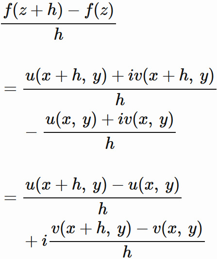
  領域 $D$ 内の点 $z$ に対して、 $h$ を $z+h \in D$ を満たす実数であるとする。
を実数部分と虚数部分に分けると、
$$ \tag{1} $$ となる。
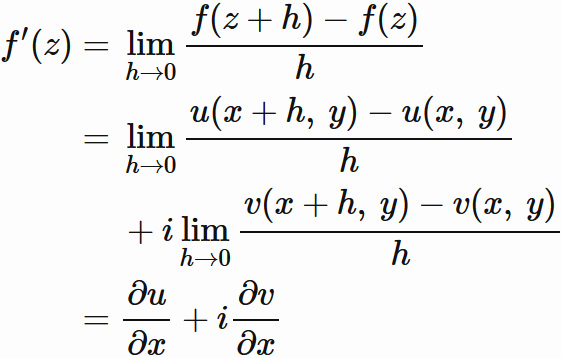
  $f(z)$ が正則であるので、 $(1)$ の左辺は $h \rightarrow 0$ とすると極限値 $f'(z)$ に収束する。 したがって、その実数部分である
と虚数部分である
は収束する。 ゆえに、
$$ \tag{2} $$ が成り立つ。
  続いて、 領域 $D$ 内の点 $z$ に対して、 $k$ を $z+ik \in D$ を満たす実数であるとする。
を実数部分と虚数部分に分けると、
$$ \tag{3} $$ となる。
  $f(z)$ が正則であるので、 $(3)$ の左辺は $k \rightarrow 0$ とすると極限値 $f'(z)$ に収束する。 したがって、その実数部分である
と虚数部分である
は収束する。 ゆえに、
$$ \tag{4} $$ が成り立つ。
  $(2)$ と $(4)$ より、
が成り立つ。また、$f$ が $C^{1}$ 級関数であるので、 $f'(z)$ が連続関数である。このことと $(2)$ と $(4)$ から $ \frac{\partial u}{\partial x}, \frac{\partial u}{\partial y}, \frac{\partial v}{\partial x}, \frac{\partial v}{\partial y} $ は連続関数である。

正則関数 $\hspace{1mm} \Longleftarrow \hspace{1mm}$ コーシー・リーマンの関係式
  領域 $D$ の任意の点 $z=x+iy$ において、 $f(z)$ の実数部分 $u(x,y)$ と虚数部分 $v(x,y)$ に対して、 コーシー・リーマンの関係式
が成り立ち、$ \frac{\partial u}{\partial x}, \frac{\partial u}{\partial y}, \frac{\partial v}{\partial x}, \frac{\partial v}{\partial y} $ が連続関数であるならば、 $f(z)$ は正則関数である。
証明
  領域 $D$ 内の二点を
と表す。 $f(z)$ の実数部分と虚数部分はそれぞれ
であり、 $f( z' )$ の実数部分と虚数部分はそれぞれ
と表される二変数関数である。 仮定より $ \frac{\partial u}{\partial x}, \frac{\partial u}{\partial y}, \frac{\partial v}{\partial x}, \frac{\partial v}{\partial y} $ が連続 ($u$ と $v$ が $C^{1}$ 級関数) であるので、 $u$ と $v$ に対して平均値の定理が適用できる。 したがって、
を満たす $\theta_{u}$ と $\theta_{v} $ が存在する。 コーシー・リーマンの関係式を用いると、
と表される。 これらより、
が成り立つ。
  これと三角不等式を用いると、
が成り立つ。
  右辺の各項に着目する。 仮定より $ \frac{\partial u}{\partial x} $ と $ \frac{\partial v}{\partial x} $ は連続であるので、 $z' \rightarrow z$ の極限において (すなわち、 $h \rightarrow 0$ と $k \rightarrow 0$ において)、
が成り立つ。 したがって、 $z' \rightarrow z$ の極限において
である。 これより、
が成り立つ。 右辺は連続関数であるので、$f'(z)$ が極限を持ち、なおかつ、 それが連続関数であることがこの式から理解される。 すなわち、 $f'(z)$ は正則関数かつ $C^{1}$ 級の関数である。

具体例:
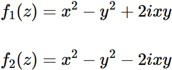
  次の関数が正則関数であるかどうかをコーシー・リーマンの関係式を用いて確かめよ。

ここで $x,y$ は実数であり、 $z=x+iy$ とした。
解答例
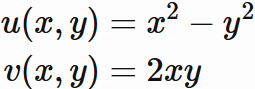
  ● $f_{1}$ について:
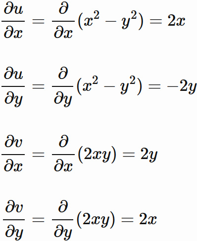
実部 $u$ と虚部 $v$ をそれぞれ
であるので、
を得る。これらより、コーシーリーマンの関係式
が成り立つので、$f_{1}$ は正則関数である。


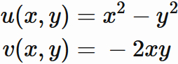
  ● $f_{2}$ について:
実部 $u$ と虚部 $v$ はそれぞれ
であるので、
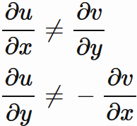
を得る。これらより、
であるので、コーシーリーマンの関係式が成り立たない。 したがって、$f_{2}$ は正則関数ではない。