ディリクレ核 ~ 定義と性質 ~

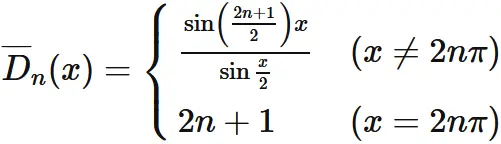
ディリクレ核の定義
  次の関数
ディリクレ核の定義
ディリクレ核(Dirichlet kernel)という。
$n=10$ の場合のディリクレ核

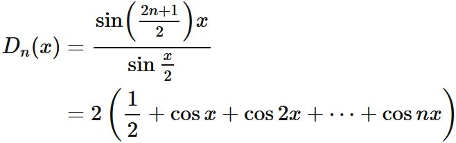
コサインの和による表現
  ディリクレ核は
ディリクレ核のコサインの和による表現
とコサインの和で表せる。
証明
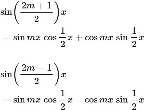
  三角関数の加法定理より、
であるので、
である。 これより、
である。 $m=1$ から $m=n$ までを順番に並べると、
となることから分かるように、 全てを足し合わせると、殆どの項がキャンセルし、
となる。 したがって、 ディリクレ核の定義から、
が成り立つ。

指数関数による表現
  ディリクレ核 .
ディリクレ核の指数関数による表現
と指数関数の和によって表される。
証明
  オイラーの公式
から
であるが、 これをディリクレ核のコサインによる表現に代入すると、
となる。

周期が $2 \pi$
  ディリクレ核の周期は $2 \pi$ である。
証明
  定義に従って計算すると、加法定理から
ディリクレ核は周期2πの関数
が成り立つ。

偶関数
  ディリクレ核は偶関数である。
証明
  定義に従って計算すると、
が成り立つので、偶関数である。

連続性
  $x \neq 2n\pi$ ($n$ 整数) のとき、ディリクレ核
に等しく、 $x = 2n\pi$ のときに $2n+ 1$ に等しい関数
は、連続関数である。
証明
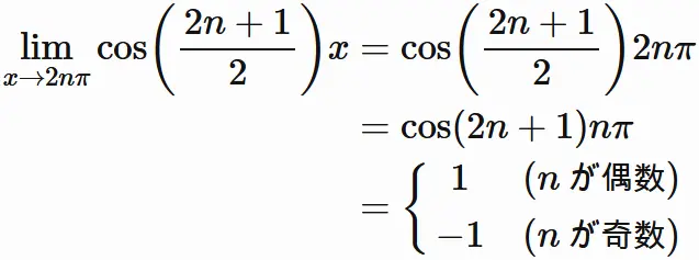
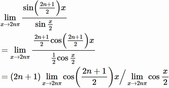
  はじめに $x = 2n \pi$ での連続性を示す。
は、右辺の分子も分母も $x \rightarrow 2n \pi$ の極限が $0$ であるので、 $\frac{0}{0}$ のロピタルの定理を適用できる。 よって、
となる。 最後の等号では商の極限の性質を用いた。 分子の極限は
であり、分母の極限は、
である。 以上から
が成り立つので、$\overline{D}_{n}(x)$ は $x = 2n \pi$ で連続な関数である。
  $x \neq 2n \pi$ の場合には、 コサインの和の表現
から明らかに連続である。 以上より、 $\overline{D}_{n}(x)$ は実数全体に渡って連続関数である。

フーリエ級数との関係
  積分可能な関数 $f$ によって、フーリエ係数
を定義し、これらによって数列の和
を定義すると、これは ディリクレ核を用いて
ディリクレ核とフーリエ級数
と表すことが出来る。
証明
  フーリエ係数の定義から、
と表せるが、 加法定理を用いて書き直すと、
となる。 最後の等号では、 ディリクレ核がコサインの和で表せることを用いた。

補足
  数列 $s_{n}$ の $n \rightarrow \infty$ の極限
フーリエ級数という。
  フーリエ級数が関数 $f(x)$ に等しいとき、 すなわち、 数列 $s_{n}$ の収束先が $f(x)$ になるとき、
と表し、右辺を $f(x)$ のフーリエ展開と呼ぶ。
ディリクレ核の積分
  ディリクレ核の積分は、
ディリクレ核の積分
である。
証明
  コサインの和による表現を用いると、
である。