ルジャンドル多項式の性質 (証明付)

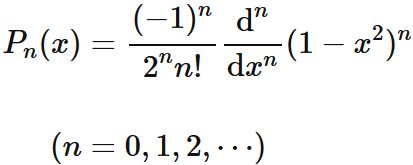
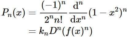
ルジャンドル多項式の定義
  次の関数
ルジャンドル多項式の定義
を $n$ 次のルジャンドル多項式 (Legendre-polynomial) という。
 
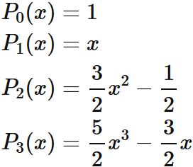
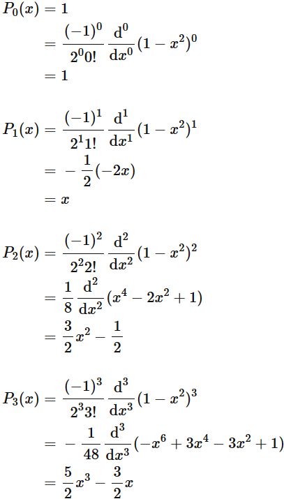
ルジャンドル多項式の具体例
  $n=0,1,2,3$ の各次数のルジャンドル多項式は、
ルジャンドル多項式の具体例
である。

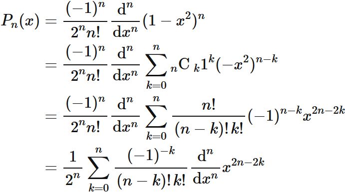
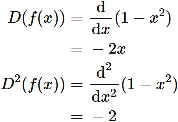
証明
  ルジャンドル多項式の定義に従って計算すると、
を得る。

ルジャンドル多項式のグラフ
$P_{0}(x)$ : 青色
$P_{1}(x)$ : 橙色
$P_{2}(x)$ : 緑色
$P_{3}(x)$ : 灰色
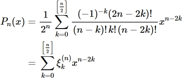
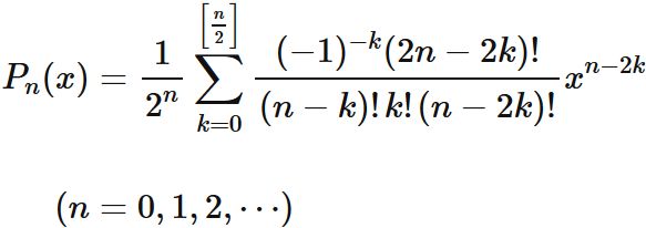
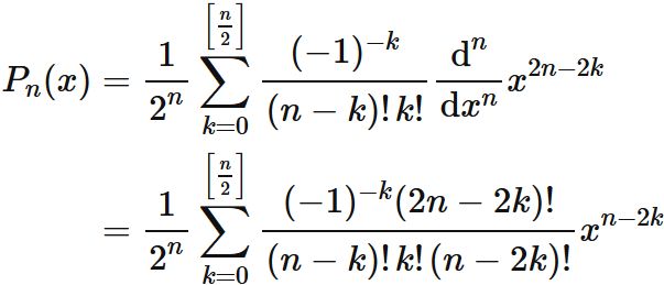
ルジャンドル多項式の一般項
  $n$ 次のルジャンドル多項式は
と表せる。ここで $[ \cdot ]$ はガウス記号である。 また、 この表現からも分かるように、 $n$ 次のルジャンドル多項式は $n$ 次多項式である。
 

証明
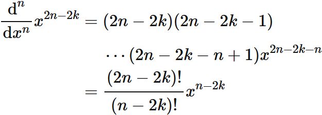
  ルジャンドル多項式の定義二項定理を用いると、
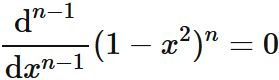
$$ \tag{1} $$ と書かれるが、 最後の式の $ \frac{\mathrm{d}^{n}}{\mathrm{d} x^{n} } x^{2n-2k}$ の部分は、 $2n-2k$ 次式を $n$ 回微分するので、
の場合には $0$ になる。 すなわち、 $(1)$ の
を満たす $k$ の項は全て $0$ になる。 したがって、 $n$ が偶数の場合、$(1)$ の総和の中で $0$ にならない最大の $k$ は $\frac{n}{2}$ である。 一方、$n$ が奇数の場合、$0$ にならない最大の $k$ は $\frac{n-1}{2}$ である。 これらは、ガウス記号 $[\cdot]$ を用いて、
とまとめられるので、$(1)$ を
と表すことが出来る。この式に含まれる $n$ 階微分が
と表せることを用いると、
となる。 この表現から分かるように、$n$ 次ルジャンドル多項式は $n$ 次多項式である。

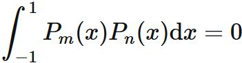
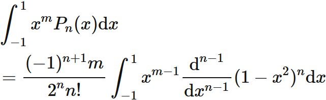
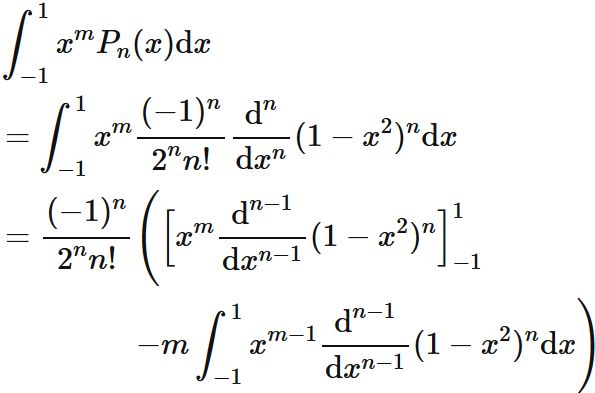
べき関数との直交性
$x^{m}$ と $P_{n}(x)$ の間には
が成り立つ。

証明
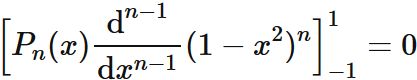
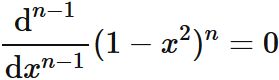
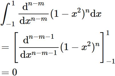
  ルジャンドル多項式の定義を代入し、 部分積分を実行すると、
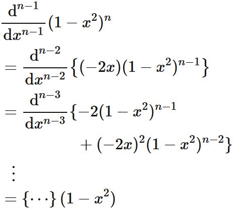
となる。ここで第一項にある微分が
と表せることから ( $\left\{ \cdots \right\}$ の部分は $x$ の多項式 )、 $x=1$ または $x=-1$ のとき、
である。したがって、
$$ \tag{1} $$ であることから、
である。 右辺の積分に対して再び部分積分を実行すると、
となるが、$(1)$ を導いたときと同様に考えると、
であることが分かるので、
を得る。
  以下、同様の部分積分を繰り返すことによって、
を得るが、右辺の積分が $(1)$ を求めたときと同様に考えると、
となるので、
が成り立つ。

補足: (グラムシュミットの直交化との関連性):
上の証明で示された
は、ルジャンドル多項式の顕著な特徴を表している。 すなわち、 $n$ 次のルジャンドル多項式は、 $n$ 未満の次数の全ての多項式と直交する。
  例えば $1$ 次のルジャンドル多項式は、$1$ と直交し、 $2$ 次のルジャンドル多項式は、$1, x$ と直交する。 また、$3$ 次のルジャンドル多項式は、$1, x, x^2$ と直交する。 このことは、$n$ 次のルジャンドル多項式が $n$ 次以下のべき関数 \begin{eqnarray} 1, x , x^2 \cdots, x^{n} \end{eqnarray} からグラムシュミットの直交化法 によって生成される多項式であることを表している。
ルジャンドルの直交性
  $m \neq n$ の場合、 $m$ 次ルジャンドル多項式と $n$ 次ルジャンドル多項式は直交する。 すなわち、
が成り立つ。

証明
 
  $P_{m}(x)$ は $m$ 次多項式であるので、
と表すことができる。これとべき関数との直交性 より、$m \lt n$ の場合、
$$ \tag{1} $$ が成り立つ。
  一方 $m >n$ の場合には、
と積の順番を入れ替えると、 $m \lt n$ の場合と全く同じ状況 (積の左側にある $P_{n}(x)$ の次数が右側にある $P_{m}(x)$ の次数よりも小さい) になるので、 $(1)$ より、
が成り立つ。

ルジャンドル多項式の規格化
  ルジャンドル多項式の規格化条件は
ルジャンドル多項式の規格化
である。

証明
  ルジャンドル多項式の定義を用いて 部分積分を実行すると、
ここで第一項にある微分が
と表せることから ( $\left\{ \cdots \right\}$ の部分は $x$ の多項式 )、 $x=1$ または $x=-1$ のとき、
である。したがって、
$$ \tag{1} $$ であることから、
である。 右辺の積分に対して再び部分積分を実行すると、
となるが、$(1)$ を導いたときと同様に考えると、
であることが分かるので、
を得る。
  以下、同様の部分積分を繰り返すことによって、
を得る。 ここでルジャンドル多項式の一般項の表現を用いると、
であるので (二つめの等号では $\sum_{k}$ のうち $k\neq 0$ の項の $n$ 回微分が全て $0$ になることを用いた)、
と表される。 ここで、積分変数を $ u = (x+1)/2 $ として置換積分を行うと、
であることから、
と表せられる。 加えて ベータ関数の定義と性質 およびガンマ関数の性質
を用いると、
を得る。

補足: 規格化:
上の関係から、
を定義すると、
が満たされる。 これは関数 $\overline{P_{n}}(x)$ が
によって定義される関数ノルムで規格化された関数であることを表している。
多項式の展開
  任意の $n$ 次多項式 $f(x)$ は、 $n$ 次までのルジャンドル多項式の線形結合によって表すことができる。 すなわち、 \begin{eqnarray} f(x) = a_{n}x^{n} + a_{n-1}x^{n-1} + \cdots + a_{1}x + a_{0} \end{eqnarray} のとき、 \begin{eqnarray} f(x) = \sum_{k=0}^{n} \alpha_{k} P_{k}(x) \end{eqnarray} と表せる。

証明
  $n$ 次のルジャンドル多項式 $P_{n}(x)$ は $n$ 次多項式であるので、 \begin{eqnarray} P_{n}(x) = \xi_{n}^{(n)} x^{n} + \cdots \end{eqnarray} と表せる。ここで $\xi_{n}^{(n)}$ は $n$ 次ルジャンドル多項式の $x^{n}$ の係数であり、 $\xi_{n}^{(n)} \neq 0$ である。 また、$\cdots$ の部分は $n-2$ 次の多項式である (ルジャンドル多項式の一般項 を参考)。 これと、 \begin{eqnarray} f(x) = a_{n}x^{n} + a_{n-1}x^{n-1} + \cdots + a_{1}x + a_{0} \end{eqnarray} であることから、 \begin{eqnarray} f(x) - \frac{a_{n}}{\xi_{n}^{(n)}} P_{n}(x) \end{eqnarray} は $n-1$ 次多項式である。 したがって $b_{n} = \frac{a_{n}}{\xi_{n}^{(n)}}$ と定義すると、 \begin{eqnarray} f(x) - b_{n} P_{n}(x) = c_{n-1} x^{n-1} + \cdots \end{eqnarray} と表せる。 ここで $c_{n-1}$ は $x^{n-1}$ の係数であり、 $\cdots$ の部分は $n-2$ 次多項式である。 したがって、 右辺が $n-1$ 次多項式になっている。
  同じように、 $n-1$ 次のルジャンドル多項式 $P_{n-1}(x)$ は $n-1$ 次多項式であるので、 \begin{eqnarray} P_{n-1}(x) = \xi_{n-1}^{(n-1)} x^{n-1} + \cdots \end{eqnarray} と表せることから、 \begin{eqnarray} f(x) - \frac{a_{n}}{\xi_{n}^{(n)}} P_{n}(x) - \frac{c_{n-1}}{\xi_{n-1}^{(n-1)}} P_{n-1}(x) \end{eqnarray} は $n-2$ 次多項式である。 したがって、 \begin{eqnarray} &&f(x) - \frac{a_{n}}{\xi_{n}^{(n)}} P_{n}(x) - \frac{c_{n-1}}{\xi_{n-1}^{(n-1)}} P_{n-1}(x) \\ &&= c_{n-2} x^{n-2} + \cdots \end{eqnarray} と表せる。 ここで $c_{n-2}$ は $x^{n-2}$ の係数であり、 $\cdots$ の部分は $n-3$ 次多項式である。 したがって、 右辺が $n-3$ 次多項式になっている。
  このような操作を繰り返してゆき、 右辺の次数を下げてゆくと、 最終的には右辺を $0$ にすることができる。 すなわち、 \begin{eqnarray} f(x) - \frac{a_{n}}{\xi_{n}^{(n)}} P_{n}(x) - \frac{c_{n-1}}{\xi_{n-1}^{(n-1)}} P_{n-1}(x)+ \cdots = 0 \end{eqnarray} となる。 左辺のルジャンドル多項式 $P_{k}(x)$ にかかる係数をそれぞれ $\alpha_{k}$ と表すと、 この式から \begin{eqnarray} f(x) = \sum_{k=0}^{n} \alpha_{k} P_{k}(x) \end{eqnarray} を得る。したがって、 任意の $n$ 次多項式 $f(x)$ は $n$ 次までのルジャンドル多項式の線形結合によって表すことができる。

ルジャンドルの微分方程式
  ルジャンドル多項式は、次の微分方程式
ルジャンドルの微分方程式
の解である。

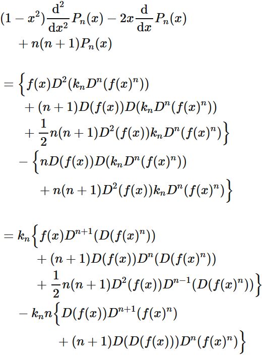
証明
  定義から直接計算して、
ルジャンドルの微分方程式
$$ \tag{0} $$ が成り立つことを示す。
  はじめに
$$ \tag{1} $$ と置き、
を用いると、 $(0)$ の左辺は、
と表せるが、 $(1)$ によってルジャンドル多項式
と表されることを用いると、 さらに、
$$ \tag{2} $$ となる。 ここで $m= 3, 4, \cdots $ のとき、
であることを用いると、 ライプニッツの公式から
が成り立つので、 これを $(2)$ を代入すると、
$$ \tag{3} $$ と表せる。また $m=2,3, \cdots $
であることに注意すると、 再びライプニッツの公式から
であるので、 これを $(3)$ を代入すると、
であることが分かる。

漸化式
  ルジャンドル多項式には、 漸化式
ルジャンドル多項式の漸化式
が成り立つ。

証明
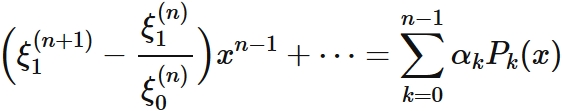
  ルジャンドル多項式 $P_{n}(x)$ の一般項を具体的に表すと、
である。 ここで $P_{n}(x)$ の $x^{n-2k}$ の係数を
$$ \tag{1} $$ と定義した。これを用いると、
と表せることから、
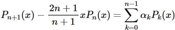
が成り立つ (多項式の展開を参考)。 右辺が $n-1$ 次式になる。 したがって、右辺は $n-1$ 次までのルジャンドル多項式の線形結合で表せる。 すなわち、
と表せる。 ここで $\alpha_{k}$ は係数である。 これらより、
が成り立つ。 $(1)$ から
$$ \tag{2} $$ であるので、
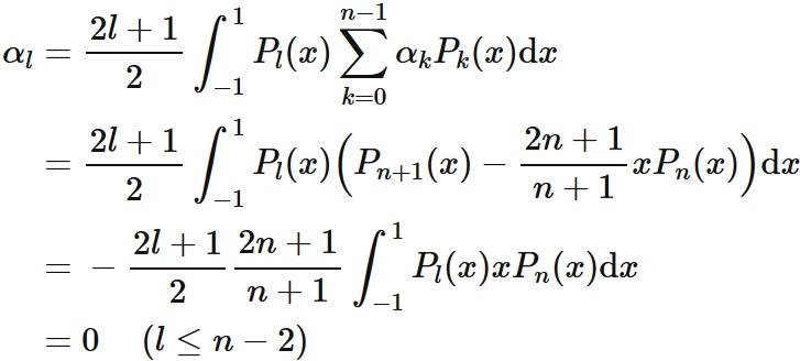
$$ \tag{3} $$ と表せる。
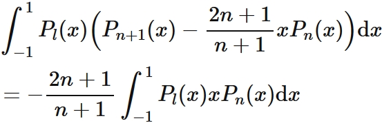
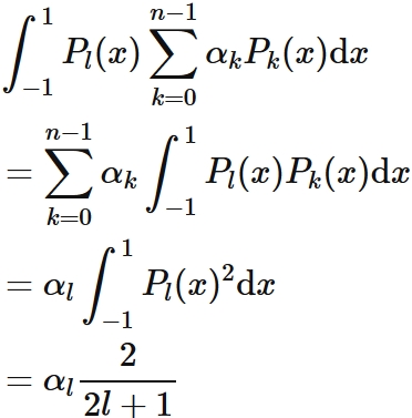
  右辺に $P_{l}(x)$ $(l=0,1,\cdots,n-1)$ を掛けて積分すると、 ルジャンドル多項式の直交性規格化条件により、
$$ \tag{4} $$ となる。 同じように左辺に $P_{l}(x)$ を掛けて積分すると、 再びルジャンドル多項式の直交性により、
$$ \tag{5} $$ となるが、 $P_{l}(x)$ は $l$ 次多項式であるため、 $P_{l}(x) x$ は $l+1$ 次多項式である。 したがって、 $l \leq n-2$ の場合には、 $P_{l}(x) x$ は $n-1$ 次以下の多項式であるため、 ルジャンドル多項式の直交性により、 $P_{n}(x)$ との積分が $0$ になる。 すなわち、
$$ \tag{6} $$ が成り立つ。 以上の $(3)$ $(4)$ $(5)$ $(6)$ から、
が成り立つ。 これと $(3)$ から、
$$ \tag{7} $$ である。
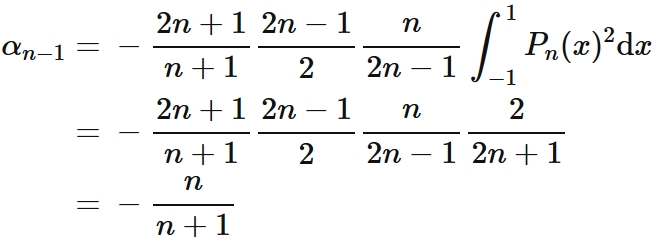
  この関係とルジャンドル多項式の直交性から、
であるので、 ルジャンドル多項式の規格化条件から
$$ \tag{8} $$ となる。 右辺の積分を求めるためには、 $(7)$ の関係を $n \rightarrow n-1$ として得られる関係
に着目する ($\beta_{n-2}$は係数)。 これとルジャンドル多項式の直交性から
であるので、
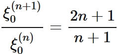
が成り立つ。 これを $(8)$ に代入し、 ルジャンドル多項式の規格化条件と $(1)$ を用いると、
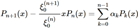
となる。 これを $(7)$ に代入すると、 \begin{eqnarray} P_{n+1} (x) - \frac{2n+1}{n+1} x P_{n}(x) = - \frac{n}{n+1}P_{n-1}(x) \end{eqnarray}
となるが、 整理すると漸化式
を得る。