クラメルの公式   ~証明と具体例~

クラメルの公式と証明
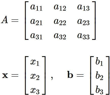
$n$ x $n$ の係数行列 $A$ を持つ連立 $1$ 次方程式
の解は、
クラメルの公式
である。 ここで、$x_{k}$ は $\mathbf{x}$ の第 $k$ 番目の成分である。 また、$\mathbf{a}_{i}$ は行列 $A$ の $i$ 番目の列ベクトルであり、 $|A|\neq 0$ とする。
  この公式は、クラメルの公式(Cramer's rule)と呼ばれる。 証明を以下に記す。

証明
    一般に、 行列式が $0$ の行列は逆行列を持つので、 $|A| \neq 0$ であることから、 $A$ には逆行列 $A^{-1}$ が存在する。 これを
の両辺に掛けると、
となる。
  また一般に、任意の行列とその余因子行列の積は、 単位行列に行列式を掛けたものに等しいことが知られている。 すなわち、 $A$ の余因子行列を $\tilde{A}$ と表すと、 これらの間には、
が成り立つ。 これと $|A| \neq 0$ であることから、
が成り立つ。 この式は、 行列 $\frac{1}{|A|}\tilde{A}$ が $A$ の逆行列 であることを表している。 すなわち、
である。 これを $(1)$ に代入すると、
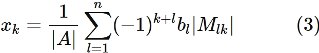
と表される。 この式の 第 $k$ 成分は、
である。
  $\tilde{A}_{kl}$ は、余因子行列の定義より、
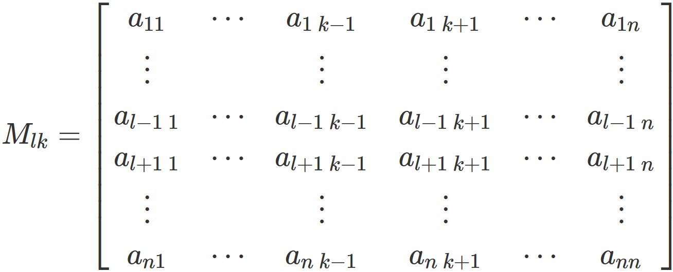
である ( 添え字の順序に注意 )。 ここで $M_{lk}$ は、行列 $A$ から $l$ 行 と $k$ 列を取り除いて得られる小行列
であり、$|M_{lk}|$ はその行列式である ( $a_{ij}$ は $A$ の $i$ 行 $j$ 列成分である ) 。 これらより、$(2)$ は、
と表される。
  右辺の $\sum_{l=1}^{n}(-1)^{k+l} b_{l} |M_{lk}| $ の部分は、 行列式
の $k$ 列に関する余因子展開になっている。 実際に余因子展開してみると、
である。
  これを $(3)$ に代入すると、
を得る。 すなわち、 連立 $1$ 次方程式の解の第 $k$ 成分は、 係数行列 $A$ の $k$ 列を $\mathbf{b}$ で置き換えた行列式を、 $A$ の行列式で割ったものに等しい。 これをクラメルの公式と呼ぶ。

クラメルの公式を使う具体例
  $3$ 変数の連立 $1$ 次方程式
クラメルの公式を使って解く例題
の解をクラメルの公式を用いて求める。

解答例
    行列 $A$ とベクトル $\mathbf{x}$ と $\mathbf{b}$ を
とするとき、 連立 $1$ 次方程式
の解は、 クラメルの公式によると、
3変数のクラメルの公式
である。
  これを連立 $1$ 次方程式
に対して適用する。
  この場合、
であるから、 $(1)$ より、 解は、
である。
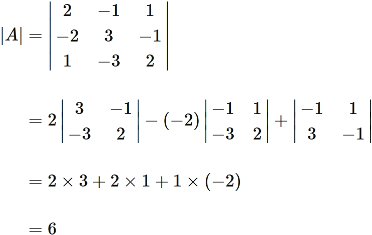
  行列式 $|A|$ を、 $1$ 列に関する余因子展開$2$ x $2$ の行列式の計算から求めると、
であるので、 解は
と表される。
  これらに含まれる各行列式を同じように求めると、
であることから、 解 $x_{1}$, $x_{2}$, $x_{3}$ は、それぞれ
である。

計算機
計算機
  以下の入力フォームに半角数字で値を入力し、「実行」ボタンを押して下さい、 解が表示されます。
$x$ + $y$ + $z$ =
$x$ + $y$ + $z$ =
$x$ + $y$ + $z$ =
$x$ =
$y$ =
$z$ =