確率行列とは? ~性質と具体例~

 
確率行列
- 定義
-
- 確率ベクトル
- 固有値

具体例
- マルコフ過程
定義: (確率行列)
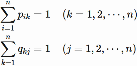
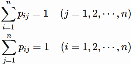
  $n \times n$ の行列
の各成分が $0$ 以上であり、 各列の総和が $1$ であるとき、 すなわち、
が成り立つとき、$P$ を確率行列 (Stochastic matrix, Probability matrix) という (より詳しい定義は補足を参考)。
具体例
  次の行列
は、いずれの列の総和も $1$ であるので確率行列である。
  また、$0 \leq p, q \leq 1$ ならば、次の行列
もまた確率行列である。
補足: (確率行列の定義)
  上では、 $n \times n$ の行列
の各成分が $0$ 以上であり、 列の総和が $1$ であるとき、 すなわち、
が成り立つとき、$P$ を確率行列と定義したが、 これを左確率行列 (Left stochastic matrix) と呼ぶこともある。 同じように 各行の総和が $1$ であるとき、 すなわち、
が成り立つとき、$P$ を 右確率行列 (Right stochastic matrix) という。 加えて、各行の総和も各列の総和も $1$ であるとき、 すなわち、
の両方が成り立つとき、 二重確率行列 (Doubly stochastic matrix)という。
  本ページでは便宜上、左確率行列のみを取り扱い、省略して確率行列と呼ぶことにする。
確率行列の積
  各成分が $0$ 以上であり、 なおかつ、 総和が $1$ であるベクトルを確率ベクトルという。 $P$ と $Q$ をの確率行列とするとき、 積 $PQ$ もまた確率行列である。 すなわち、
が成り立つ。 ここで $ \mathcal{S} $ は確率行列全体のの集合である。
証明
  $P$ と $Q$ を $n \times n$ の確率行列とし、
と表すと、
が成り立つ。 これらを用いると、 $PQ$ の $i$ 行の総和が
となるので、 $PQ$ もまた確率行列である。
確率ベクトル
  $n$ 次のベクトル
の各成分の総和が $1$ であるとき、 すなわち、
が成り立つとき、 $\mathbf{v}$ を確率ベクトルという。
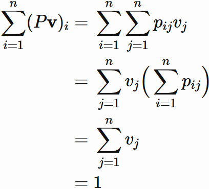
  確率ベクトルに確率行列 $P$ を掛けたベクトルもまた確率ベクトルになる。 すなわち、$P \mathbf{v}$ もまた確率ベクトルになる。
証明
  $P$ と $\mathbf{v}$ をそれぞれ 確率行列と確率ベクトルとし、 各成分を 次のように
と表すと、
が成り立つ。これらを用いると、 確率ベクトルに確率行列 $P$ を掛けたベクトル $P \mathbf{v}$ の各成分の総和が
となるので、$P \mathbf{v}$ もまた確率ベクトルである。
確率行列の固有値
  確率行列の固有値には二つの性質がある。

  1. 確率行列の固有値の絶対値は $1$ 以下である。
  2. 確率行列は固有値 $1$ を持つ。

以下に証明を記す。
証明
1. 固有値の絶対値は $1$ 以下
  $P$ を $n \times n$ の確率行列とすると、
$$ \tag{1} $$ が成り立つ。 ここで $p_{ij}$ は $P$ の $i$ 行 $j$ 列成分である。
  続いて $P$ の固有値を $\lambda$ とすると、 転置行列の固有値がもとの行列の固有値と等しいことから、 $P$ の転置行列 $P^{T}$ もまた固有値 $\lambda$ を持つ。 すなわち、
$$ \tag{2} $$ を満たす固有ベクトル $\mathbf{v}$ が存在する。
  $\mathbf{v}$ の各成分 $v_{i}$ $(i=1,\cdots,n)$ のうち、 絶対値が最も大きな成分を $v_{m}$ とする。 このとき、$(2)$ の左辺の第 $m$ 成分を表すと、
となる。 これと $(1)$ $(2)$ および 三角不等式を用いると、
が成り立つことが分かる。これより、
を得る。
2. 固有値 $1$ を持つ。
  確率行列 $P$ に対する 固有方程式
と表す。ここで $\lambda$ は $P$ の固有値であり、 $I$ は単位行列である。 この式が $\lambda=1$ の場合に成り立てば、$P$ は固有値 $1$ を持つことになるので、
を証明する。
 
と表したときに、 ある行に別の行を足しても行列式の値が変わらないという行列式の性質を用いて、 $1$ 行目に $2,3,\cdots, n$ 行の全てを足すと、確率行列の定義から
というように $1$ 行の成分の全てが $0$ である行列式が現れる。 ここで関心のない成分は 「*」 と略記した。 さらに転置行列の行列式がもとの行列の行列式に等しいという性質を用いると、
というように $1$ 列の成分の全てが $0$ である行列式が現れる。 このような行列式は $0$ である (行列式の定義または行列式の性質を参考) 。したがって、
を得る。 これより、$P$ は固有値 $1$ を持つ。
マルコフ連鎖
  確率ベクトルを一つの状態と見なし、 確率行列を次々と掛けてゆくことによって、 状態を変換させて行く過程をマルコフ連鎖 (Markov chain) という。 ここでは、2次元のマルコフ連鎖を紹介する。
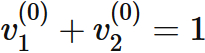
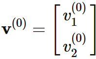
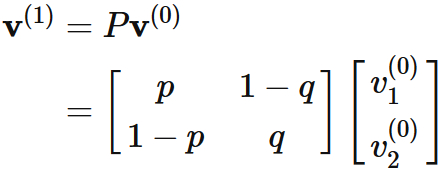
  マルコフ連鎖の 始状態 (第 $0$ 番目の状態) を
と表す。 $\mathbf{v}^{(0)}$ は確率ベクトルであるので、
が成り立つ。 始状態を変換した次の状態 (第 $1$ 番目の状態) は、 始状態に確率行列
を掛けた状態として与えられる。 すなわち、
$$ \tag{1} $$ である。 確率行列を確率ベクトルに掛けて得られるベクトルもまた確率ベクトルであるので、 $\mathbf{v}^{(1)}$ は確率ベクトルである。
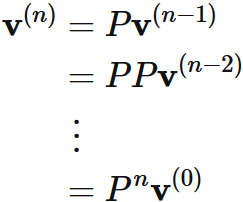
  同じように、$n-1$ 番目の状態を $\mathbf{v}^{(n-1)} $ とし、 $n$ 番目の状態を $\mathbf{v}^{(n)} $ と表すとき、 マルコフ連鎖ではこれらの間に
の関係がある。 これと $(1)$ より、
$$ \tag{2} $$ が成り立つ。 このようにマルコフ連鎖の $n$ 番目の状態は、 始状態に確率行列を $n$ 回掛けたものとして表される。 確率行列の積もまた確率行列であるので、 $P^{n}$ もまた確率行列である。 また、 確率行列を確率ベクトルに掛けて得られるベクトルもまた確率ベクトルであるので、 $(2)$ は $\mathbf{v}^{(n)} $ が確率ベクトルであることを表している。 したがって、 マルコフ連鎖では任意の状態が確率ベクトルになる。
  ところで、 $P$ は確率行列であるので、必ず固有値 $1$ を持つ。 そこで、 仮に $ \mathbf{v}^{(0)}$ が固有値 $1$ の固有状態であるとする。 すなわち、
が成り立つとする。 この場合、$(2)$ から
が成り立つ。 すなわち、 $n$ 番目の状態が始状態に等しい。 これはマルコフ連鎖をどれだけ進めても始状態が維持され続けることを表している。 このような状態を 定常状態 (Stationary state) という。