二次形式と標準形とは?

具体例:   (2変数の場合)
  複数の変数から成る二次式を二次形式という。
  次の $2$ 変数関数は二次形式である。
二変数の二次形式の例
次の関数は二次形式ではない。
第一式には一次式 $-3x$ が含まれるため二次形式ではない。 第二式には定数 $+4$ が含まれるため二次形式ではない。
係数行列
  ベクトル $\mathbf{x}$ を
と定義して、二次形式
を書き換えると、
と表せる。 ここで、
と定義した。 また $(\cdot, \cdot)$ は標準内積を表す記号である。
  行列 $A$ を二次形式 $f(x,y)$ の係数行列という。 この例に限らず係数行列は必ず実対称行列になる。

具体例:   (3変数の場合)
  複数の変数から成る二次式を二次形式という。
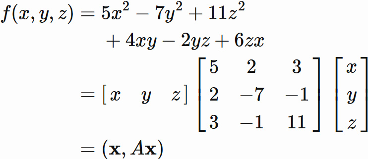
  次の3変数関数は二次形式である。
3変数の二次形式の例
次の関数は二次形式ではない。
第一式には一次式 $-4z+3y$ が含まれるため二次形式ではない。 第二式には定数 $+5$ が含まれるため二次形式ではない。
係数行列
  ベクトル $\mathbf{x}$ を
と定義して、二次形式
を書き換えると、
と表せる。 ここで、
と定義した。 また $(\cdot, \cdot)$ は標準内積を表す記号である。
  行列 $A$ を二次形式 $f(x,y,z)$ の係数行列という。 この例に限らず係数行列は必ず実対称行列になる。

一般的な定義:   (n変数の場合)
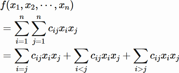
  $n$ 個変数から成る二次式
二次形式の定義
を $n$ 変数の二次形式という。
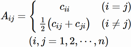
係数行列
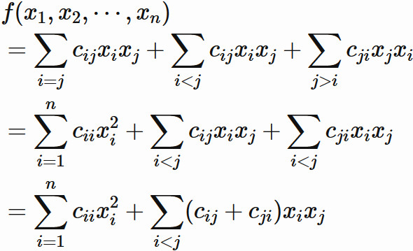
  通常は二次形式 を以下のように書き換える。 はじめに、
と表す。右辺の三つ目総和の添え字 $i$ を $j$ と表し、 $j$ を $i$ と表すことにすると、
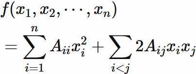
と表される。 ここで、$n \times n$ 行列 $A$ を
と定義すると、$A$ は実対称行列であり、
と表せる。加えて、 ベクトル $\mathbf{x}$ を
と定義すると、
と表せる。 ここで $(\cdot, \cdot)$ は標準内積を表す記号である。 実対称行列 $A$ を二次形式 $f(x_{1}, \cdots, x_{n})$ の係数行列という。

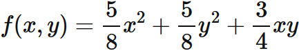
標準形にする例題
  二次形式
標準形にすると、
となる。
解答例
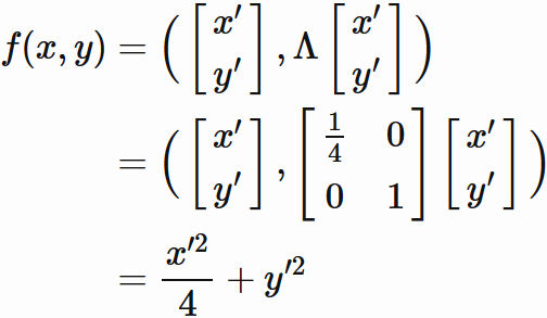
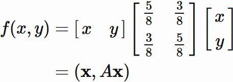
  二次形式 $ f(x,y) $ を係数行列によって表すと、
$$ \tag{1} $$ である。 ここで
とした。
  $A$ は実対称行列であるので、 直交行列によって対角化可能である。すなわち、
を満たす直交行列 $R$ と対角行列 $\Lambda$ が存在する。 これを用いて、 $(1)$ を書き換えると、
となる。 二つ目の等号では $R$ が直交行列であること
を用いた ($I$ は単位行列)。 また最後の等号では転置行列と直交行列の関係を用いた。
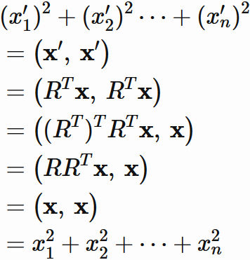
  加えてベクトル $ R^{T} \mathbf{x}$ を
と成分表示すると、
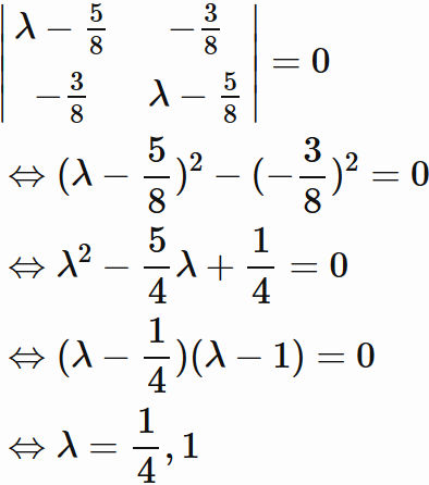
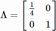
と表せる。 ここで $\Lambda$ は $A$ を対角化した行列であるので、 各対角成分が $A$ の固有値である (「対角成分は固有値」を参考) 。 $A$ の固有値は固有方程式
の解である。具体的に表すと、
である。これより、
であるので、
$$ \tag{2} $$ という標準形になる。
補足
  $(2)$ の標準形は $f(x,y)=1$ とすると、 $x'y'$ 座標系で表された長軸の長さが $2$ で 短軸の長さが $1$ の楕円である。 一方 $xy$ 座標系で表した
は楕円を表しているかどうかは分かりずらい。
このように、二次形式を標準形で表すことは、 座標変換を行うことによって、 二次形式がどんな図形であるかを明らかにする。
  因みに二次形式が楕円で表されるのは固有値が正のみの場合である。

二次形式の標準形
  異なる変数同士の積を持たない二次形式
標準形という。
  どんな二次形式も直交行列によって標準形に変換できる。 証明は以下の通り。
証明
  $n$ 変数 $x_{1}', \cdots, x_{n}'$ の任意の二次形式 $f$ は、
と表せる(こちらを参考)。 ここで $A$ は実対称行列であり、
である。 $A$ は 直交行列によって対角化可能である。すなわち、
を満たす直交行列 $R$ と対角行列 $\Lambda$ が存在する。 $\Lambda$ の対角成分は $A$ の固有値である (「対角成分は固有値」を参考) 。そこで
$$ \tag{1} $$ と置く。ここで $\lambda_{i}$ は $A$ の固有値である。 これらを用いると、
が成り立つ。 二つ目の等号では $R$ が直交行列であること
を用いた ($I$ は単位行列)。 また最後の等号では転置行列と直交行列の関係を用いた。
  ベクトル $\mathbf{x}$ を
と定義すると、
と表せるが、$\mathbf{x}$ の各成分を
と表して $(1)$ を用いると、
を得る。 このように、任意の二次形式を標準形で表すことができる。

最大値・最小値 (例題)
  制約条件
のもとで、二次形式
の最大値と最小値を求めよ。
解答例
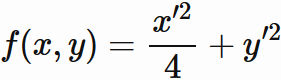
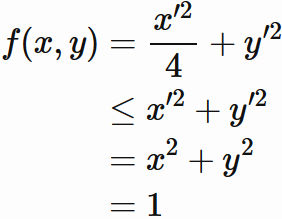
  $f(x,y)$ を標準系にすると、
である (標準系にする例題を参考)。 ここで $(x', y')$ は
$$ \tag{1} $$ と直交行列 $R$ によって定義される変数である。 これより、
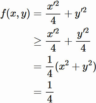
が成り立つことが分かる。 ここで転置行列の性質内積と転置の関係を用いた。 以上から、
$$ \tag{2} $$ が成り立つ。 したがって、$f(x,y)$ の最大値は $1$ である。 同じように、
が成り立つので、$f(x,y)$ の最小値は $1/4$ である。
補足: 最大・最小に達する場合の $(x,y)$ は?
  $(2)$ から分かるように、$f(x,y)$ は
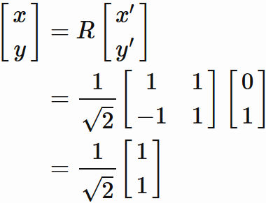
のときに最大値 $1$ に達する。 $(1)$ より、
であるので、$R$ が分かれば、 $f$ を最大にする $(x,y)$ が求められる。 $R$ は $A$ を対角化する行列であるので、 $A$ の固有ベクトルを列ベクトルに持つ行列である (行列の対角化の必要十分条件を参考)。 具体的に表すと、
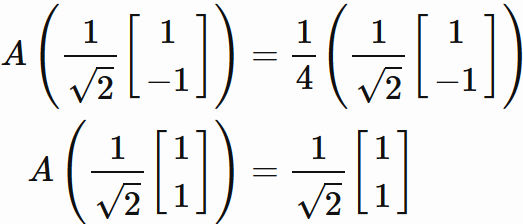
である。$R$ の各列ベクトルが $A$ の固有ベクトルを成すことは具体的に
$$ \tag{3} $$ と計算すれば確かめられる。
  以上を用いて $(x,y)$ を求めると、
を得る。 $(3)$ から分かるように、 右辺は 固有値 $1$ を出す $A$ の固有ベクトルである。 このように、 $f$ を最大にする $(x,y)$ は 固有値 $1$ を出す $A$ の固有ベクトルである。
上の図は $f(x,y)=1$ と $x^2 + y^2 =1$ を表したものであり、黄色の点で $f(x,y)$ が最大値 $1$ の達する。
  同じように考えると、 $f$ を最小にする $(x,y)$ は 固有値 $1/4$ を出す $A$ の固有ベクトルであることも示される。

最大値・最小値 (一般論)
  制約条件
のもとで、任意の二次形式
の最大値は係数行列の最大固有値である。 最小値は係数行列の最小固有値である。
証明
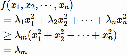
  任意の二次形式 標準形にすることができる。 すなわち、
と表せる。 ここで $\lambda_{i}$ は $f$ の係数行列 $A$ の固有値である。 また、 $x_{i}$ は $A$ を対角化する直交行列 $R$ によって、
と定義される (標準系にする例題を参考)。 ここで
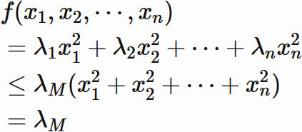
と置くと、
が成り立つことが分かる。 ここで転置行列の性質内積と転置の関係を用いた。 $A$ の最大固有値を $\lambda_{M}$ とする。 すなわち、
とすると、
が成り立つ。 したがって、$f$ の最大値は $\lambda_{M} $ である。
  同じように、$A$ の最小固有値を $\lambda_{m}$ とする。 すなわち、
とすると、
が成り立つので、$f$ の最小値は $\lambda_{m}$ である。
補足: 最大・最小に達する場合の $\mathbf{x}$ は?
  $f$ を最大にする $\mathbf{x}$ は 最大固有値を出す $A$ の固有ベクトルである (上記の例題を参考)。
  同じように、 $f$ を最小にする $(x,y)$ は最小固有値を出す $A$ の固有ベクトルであることも示される。