座標変換の公式と具体例 ~ 証明付 ~

座標変換 (2次元)
  二次元ベクトル空間の座標軸 (基底) の一つを
直交座標系間の座標変換
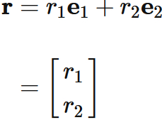
$$ \tag{1.1} $$ と表すと、任意の二次元ベクトル $\mathbf{r}$ は
直交座標系間の座標変換
$$ \tag{1.2} $$ と表される (下図)。 ここで $r_{1},r_{2}$ は線形結合の係数である。
直交座標系間の座標変換
  同じように、 $(1.1)$ とは別の座標軸を
直交座標系間の座標変換
$$ \tag{1.3} $$ とすると、先ほどの任意の二次元ベクトル $\mathbf{r}$ を
直交座標系間の座標変換
$$ \tag{1.4} $$ と表すことができる。 ここで $r'_{1},r'_{2}$ は線形結合の係数である。
直交座標系間の座標変換
  ところで、 $(1.1)$ が基底であることから、 $(1.3)$ を $(1.1)$ の線形結合によって、
直交座標系間の座標変換
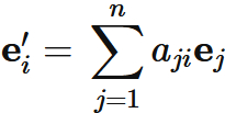
$$ \tag{1.5} $$ と表せる。 ここで $a_{ij}$ は線形結合の係数であり、 座標系 $(1.1)$ と 座標系 $(1.2)$ との関係を表す (係数の求め方については補足1を参考)。
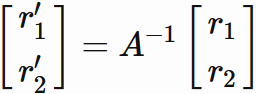
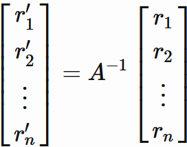
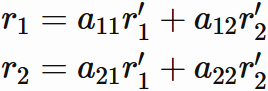
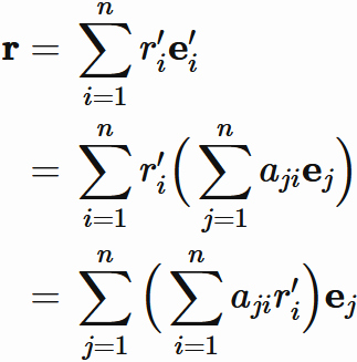
  このとき、 係数 $\{ r'_{1}, r'_{2} \}$ と 係数 $\{r_{1},r_{2} \}$ の間には
直交座標系間の座標変換
の関係が成り立つ。 この関係は、一つ座標系で表したベクトルを別の座標系で表すための公式である。
  以下で証明を与える。
証明
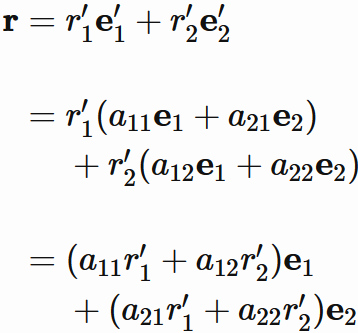
  $(1.5)$ を $(1.4)$ に代入すると、
直交座標系間の座標変換
となる。 これと $(1.2)$ を比較すると、 線形独立なベクトルの線形結合の係数は唯一つであることから、
直交座標系間の座標変換
が成り立つ。ここで、 行列 $A$ を
直交座標系間の座標変換
とすると、
直交座標系間の座標変換
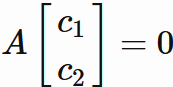
と表せる。後で補足2で証明するように、 行列 $A$ には逆行列 $A^{-1}$ が存在する。 したがって、上の式の両辺に $A^{-1}$ を掛けることにより、
直交座標系間の座標変換
が成り立つことが分かる。 $A^{-1}$ の成分を具体的に表すと、
直交座標系間の座標変換
である (「2 x 2 の逆行列」を参考) ので、
直交座標系間の座標変換
が成り立つ。
補足1:
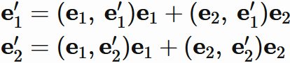
  $(1.5)$ の係数を求める。 $(1.5)$ の第一式より、
直交座標系間の座標変換
が成り立つ。 ここで $(\cdot, \cdot)$ は内積を表す記号であり、 $\| \cdot \|$ はノルムを表す記号である。 また、 両式の二つ目の等号では内積の線形性を用いた。 これらの二式は変数が $a_{11}$, $a_{21}$ の連立一次方程式である。これを解くことにより、 $a_{11}$ と $a_{21}$ が
直交座標系間の座標変換
$$ \tag{1.6} $$ と求まる。同じように、 $(1.5)$ の第二式より、
直交座標系間の座標変換
が成り立つ。これを解くことにより、
直交座標系間の座標変換
$$ \tag{1.7} $$ と求まる。 このように $(1.5)$ の係数 は座標軸の内積から求められる。
補足2:
  $(1.3)$ は座標軸 (基底) であるので、 線形独立である。 従って、
直交座標系間の座標変換
$$ \tag{1.8} $$ が成り立つと仮定すると、必ず
直交座標系間の座標変換
$$ \tag{1.9} $$ である。 一方、 $(1.8)$ は $(1.5)$ を用いると、
直交座標系間の座標変換
と表され、整理すると、
直交座標系間の座標変換
である。 $(1.1)$ もまた座標軸 (基底) であるため、 線形独立であるので、 上の式の各係数は $0$ である。すなわち、
直交座標系間の座標変換
が成り立つ。これは $A$ を用いて、
直交座標系間の座標変換
$$ \tag{1.10} $$ と表される。
  このように $(1.10)$ と $(1.8)$ と同値である。 したがって、$(1.10)$ ならば $(1.9)$ が成り立つ。 これは、(同次) 連立一次方程式 $(1.10)$ が自明な解 $(1.9)$ のみを持つことを表している。 自明な解のみを持つ同次連立一次方程式の係数行列は逆行列を持つので、 $A$ には逆行列が存在する。
正規直交基底の座標変換 (2次元)
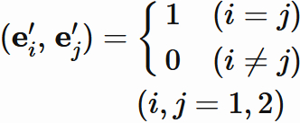
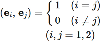
  基底 $(1.1)$ が正規直交基底を成す場合、 すなわち、
$$ \tag{2.1} $$ が成り立つ場合、 基底 $(1.1)$ から 別の基底 $(1.3)$ への基底変換行列は、
と表される。
解説
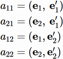
  $(1.5)$ 式と同様に、 基底 $(1.1)$ と 別の基底 $(1.3)$ の関係を
と表すとき、 $(1.6)$ と $(1.7)$に対して $(2.1)$ を適用すると、
を得る。 したがって基底間の関係 $(1.5)$ は
と表される。 このように正規直交基底からの座標変換は $a_{ji}$ が内積から得られるので、 比較的計算量が少なくて済む。 また、
$$ \tag{2.2} $$ と定義すると、
が成り立つ。 したがって、$R$ は正規直交基底 $(1.1)$ を基底 $(1.2)$ に変換する基底変換行列である。 とくに、$(1.2)$ もまた正規直交基底である場合には、 すなわち、
$$ \tag{2.3} $$ が成り立つ場合には、 $R$ が直交行列になる。 すなわち、
が成り立つ。ここで $I$ は単位行列である。 この関係を導出するためには、 $(2.1)$ $(2.2)$ $(2.3)$ および、 単位行列の性質直交行列の性質 を用いるとよい (導出を省略)。
具体例
  2次元実ベクトル空間の正規直交基底
を別の正規直交基底
に変換する基底変換行列は、 $(2.2)$ より、
である。 これは 角度 $\theta$ だけ座標軸を回転させる行列である。
正規直交基底間の座標変換
この行列は、 物体を $-\theta$ だけ回転させる回転行列でもある。 このように、$(2.2)$ 式から物体の回転行列を得ることもできる。
座標変換 ($n$ 次元)
  $n$ 次元ベクトル空間の座標軸 (基底) の一つを
$$ \tag{3.1} $$ と表すと、任意の $n$ 次元ベクトル $\mathbf{r}$ は
$$ \tag{3.2} $$ と表される。ここで $r_{1},\cdots,r_{n}$ は線形結合の係数である。
  同じように、 $(3.1)$ とは別の座標軸を
$$ \tag{3.3} $$ とすると、先ほどの任意の $n$ 次元ベクトル $\mathbf{r}$ を
$$ \tag{3.4} $$ と表すことができる。 ここで $r'_{1},\cdots,r'_{n}$ は線形結合の係数である。
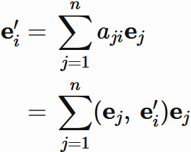
  ところで、 $(3.1)$ が基底であることから、 $(3.3)$ を $(3.1)$ の線形結合によって、
$$ \tag{3.5} $$ と表せる。 ここで $a_{ij}$ は線形結合の係数であり、 座標系 $(3.1)$ と 座標系 $(3.2)$ との関係を表す (係数の求め方については補足1を参考)。
  以下では、 係数 $\{ r'_{1}, r'_{2} \}$ と 係数 $\{r_{1}, r_{2} \}$ の間の関係を表す方法を議論する。
解説
  $(3.5)$ を $(3.4)$ に代入すると、
となる。 これと $(3.2)$ を比較すると、 線形独立なベクトルの線形結合の係数は唯一つであることから、
が成り立つ。ここで、 行列 $A$ を
とすると、
と表せる。後で補足3で証明するように、 行列 $A$ には逆行列 $A^{-1}$ が存在する。 したがって、上の式の両辺に $A^{-1}$ を掛けることにより、
が成り立つことが分かる。 この式は $\{ r'_{i} \}$ と $\{ r_{i} \}$ の関係を表す。以下の補足1では $A$ の求め方を議論する。
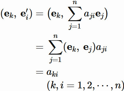
補足1:
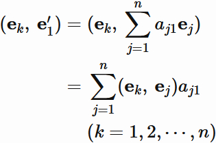
  行列 $A$ を求める。 $(3.5)$ より
$$ \tag{3.6} $$ が成り立つ。 ここで $(\cdot, \cdot)$ は内積を表す記号であり、 $\| \cdot \|$ はノルムを表す記号である。 また、 二つ目の等号では内積の線形性を用いた。 $(3.6)$は $n$ 個の変数 $a_{j1}$ $\small (j=1,\cdots, n)$ に対する連立一次方程式である。 これらは、 次の行列
を用いると、
とまとめて表せる。$G$ をグラム行列という。 $(3.1)$ が線形独立であるので、 $G$ には逆行列が存在する (線形独立なベクトルから構成されるグラム行列の行列式は $0$ ではない。したがって、逆行列が存在する)。 これより、
と $a_{j1}$ 求まる。 同じように $(3.6)$ の $(\mathbf{e}_{k},\hspace{1mm} \mathbf{e}'_{1} )$ の代わりに $(\mathbf{e}_{k},\hspace{1mm} \mathbf{e}'_{s} )$ を考えることによって、 $a_{js}$ $(s=1,2,\cdots,n)$ も求めることもできる。 このように行列 $A$ の各成分は座標軸の内積から求められる。
補足2:
  $\{ \mathbf{e}_{1}, \mathbf{e}_{2} \cdots \mathbf{e}_{n} \}$ が正規直交基底を成す場合、 すなわち、
が成り立つ場合、 $(3.5)$より、
である。 したがって
と表される。 このように正規直交基底間の座標変換は $a_{ji}$ が内積から得られるので、 比較的計算量が少なくて済む。
補足3:
  $(3.3)$ は座標軸 (基底) であるので、 線形独立である。 従って、
$$ \tag{3.7} $$ が成り立つと仮定すると、必ず
$$ \tag{3.8} $$ である。 一方、 $(3.7)$ は $(3.5)$ を用いると、
と表され、整理すると、
である。 $(3.1)$ もまた座標軸 (基底) であるため、 線形独立であるので、 上の式の各係数は $0$ である。すなわち、
が成り立つ。 これは $A$ を用いて、
$$ \tag{3.9} $$ と表される。
  このように $(3.9)$ と $(3.8)$ と同値である。 したがって、$(3.9)$ ならば $(3.8)$ が成り立つ。 これは、(同次) 連立一次方程式 $(3.9)$ が自明な解 $(3.8)$ のみを持つことを表している。 自明な解のみを持つ同次連立一次方程式の係数行列は逆行列を持つので、 $A$ には逆行列が存在する。
例 (斜交座標 → 斜交座標)
  座標軸が
$$ \tag{4.1} $$ である座標系を $C$ とし、 座標軸が
$$ \tag{4.2} $$ である座標系を $C'$ とする。 このとき、 $C'$ の座標軸 $(4.2)$ を $C$ の座標軸 $(4.1)$ を用いて表せ。 また、 $C$ の座標軸 $(4.1)$ によって
と表されるベクトル $\mathbf{r}$ を $C^{'}$ の座標軸 $(4.2)$ によって表せ。

解答例
  座標系 $C$ と $C'$ の関係を表すために上の議論の $(1.6)$ 式と $(1.7)$ 式を用いる。 はじめに、
と置く。これらの係数 $a_{ij}$ を求めるために次の計算を行う。
これらと 上の議論の $(1.6)$ 式と $(1.7)$ 式より、$a_{ij}$ が
と求まる。したがって、
が成り立つ。 これが $C'$ の座標軸を $C$ の座標軸を用いて表した式である。
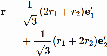
  また、
と表されるベクトル $\mathbf{r}$ を
と表したときの係数 $r'_{1}$ と $r'_{2}$ は、 座標変換の公式より、
と求まる。 これらを用いると、
を得る。 これは $\mathbf{r}$ を座標系 $C'$ で表した式である。
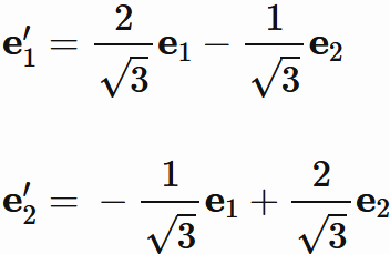
例 (正規直交基底 → 正規直交基底)
  座標軸が
直交座標系間の座標変換
$$ \tag{5.1} $$ である座標系を $C$ とし、 座標軸が
直交座標系間の座標変換
$$ \tag{5.2} $$ である座標系を $C'$ とする。 このとき、 $C'$ の座標軸 $(5.2)$ を $C$ の座標軸 $(5.1)$ を用いて表せ。 また、 $C$ によって
直交座標系間の座標変換
と表されるベクトル $\mathbf{r}$ を、 $C^{'}$ の座標軸 $(5.2)$ によって表せ。
直交座標系間の座標変換

解答例
  $(5.1)$ が基底を成すので、 任意のベクトルを線形結合で表すことが可能である。 そこで、 $(5.2)$ を $(5.1)$ の線形結合によって、
直交座標系間の座標変換
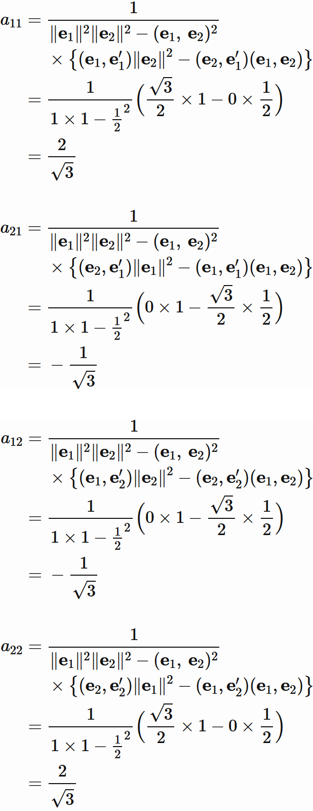
と表す。 ここで $a_{ij} (i,j=1,2)$ は線形結合の係数である。 上の議論で示されているように、 この係数は $(5.1)$ と $(5.2)$ が共に正規直交基底を成すことから、
直交座標系間の座標変換
と求まる。したがって、
直交座標系間の座標変換
が成り立つ。 これが $C'$ の座標軸を $C$ の座標軸を用いて表した式である。 また、
直交座標系間の座標変換
と表されるベクトル $\mathbf{r}$ を
直交座標系間の座標変換
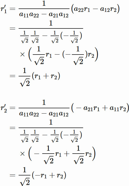
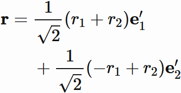
と表したときの係数 $r'_{1}$ と $r'_{2}$ は、 座標変換の公式より、
直交座標系間の座標変換
と求まる。 これらを用いると、
直交座標系間の座標変換
を得る。 これは $\mathbf{r}$ を座標系 $C'$ で表した式である。