グラム行列の性質と公式 ~ 証明付 ~

定義
  $n$ 個のベクトル
内積を各成分に持つ次の行列
グラム行列
グラム行列 (Gram matrix) という。
  グラム行列は内積が定義された任意のベクトルに対して定義されるが、 殆どの場合は、基底ベクトルに対して定義される (正規直交基底の場合を参考) 。
具体例
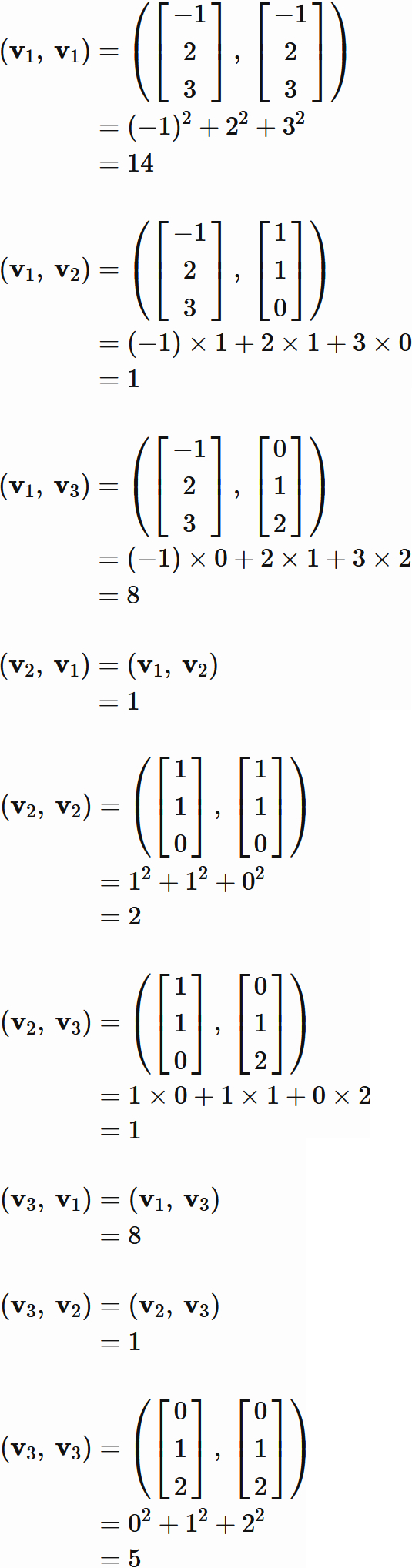
  次のベクトル
に対するグラム行列を求めよ。
解答例
  内積の定義に従って計算すると、
であるので、 グラム行列は、
である。
実対称行列
  実ベクトル空間の内積によって定義されるグラム行列実対称行列である。


証明
  グラム行列の定義転置行列の定義、 および内積の性質により、
が成り立つので、 実対称行列である。
半正定値行列
  実ベクトル空間の内積によって定義されるグラム行列半正定値行列である。


証明
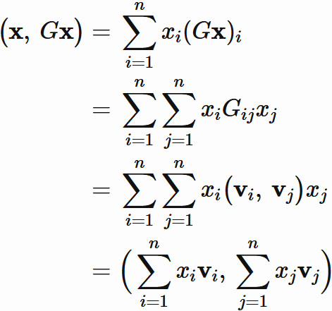
  実対称行列 $P$ が任意のベクトル $\mathbf{x}$ に対して、
$$ \tag{1} $$ が成り立つとき、 $P$ を半正定値行列という。 既にグラム行列は実対称行列であることは示されているので、 ここでは $(1)$ を証明する。
  $n$ 個のベクトル
によって定義されるグラム行列を $G$ とする。 すなわち、$G$ の $i$ 行 $j$ 列成分は
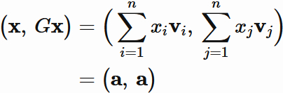
である。ここで $(\cdot, \cdot)$ は標準内積を表す記号である。 $\mathbf{x}$ を $n$ 次の任意のベクトルとする。 $\mathbf{x}$ の第 $i$ 成分の $x_{i}$ と表すことにすると、 標準内積の定義から
である。最後の等号では内積の性質を用いた。 よくみると、最後の式の内積の右側と左側は同じベクトルである。すなわち、
とすると、
である。 同じベクトル同士の内積は必ず $0$ 以上であるので、
である。 以上より、グラム行列は半正定値行列である。

固有値
  グラム行列の固有値は $0$ 以上である。
証明
  グラム行列は半正定値行列であるので、 固有値は $0$ 以上である (半正定値行列の固有値を参考)。

正規直交系   ⇒   単位行列
  グラム行列を定義するためのベクトル
が正規直交系を成すならば、 そのグラム行列は単位行列である。
証明
  $n$ 個のベクトル
が正規直交系を成すとする。すなわち、
$$ \tag{1} $$ が成り立つとする。 ここで $(\cdot, \cdot)$ は内積を表す記号である。 これらに対するグラム行列は $(1)$ から
である。
内積との関係
  基底ベクトル
$$ \tag{1} $$ から成るベクトル空間の 任意の二つのベクトル $\mathbf{a}$ と $\mathbf{b}$ の内積 $(\mathbf{a}, \hspace{1mm} \mathbf{b})$ は、 基底ベクトルによるグラム行列
$$ \tag{2} $$ によって、
と表される。また $(1)$ が正規直交基底の場合には
と表される。 右辺は標準内積である。
証明
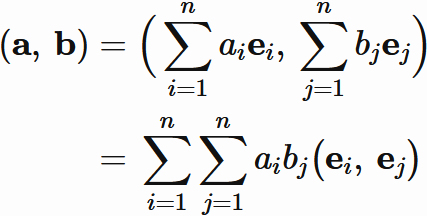
  $(1)$ は基底ベクトルであるので、 $\mathbf{a}$ と $\mathbf{b}$ を
と表せる。 ここで $a_{i}$ と $b_{i}$ は線形結合の係数である。 これと内積の性質により、
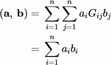
と表せる。 ここで $( \mathbf{e}_{i}, \hspace{1mm} \mathbf{e}_{j} ) $ はグラム行列 $(2)$ の $i$ 行 $j$ 列成分である。そこで、
と表すと、
を得る。
  また $(1)$ が正規直交基底の場合にはグラム行列が単位行列であるので、 すなわち、
が成り立つので、
である。
基底変換によるグラム行列の変換
  基底ベクトル
$$ \tag{1} $$ から成るベクトル空間 $V$ の別の基底を
$$ \tag{2} $$ とする。 このとき、 $(1)$ から構成されるグラム行列 $G$ と $(2)$ から構成されるグラム行列 $G'$ は合同である。 すなわち、
の関係がある。ここで $P$ は (下の証明内で定義される) 基底変換行列であり、 正則行列である。 $T$ は行列の転置を表す記号である。
証明
  基底ベクトル $(1)$ に対するグラム行列の $i$ 行 $j$ 列成分は
である。 $(2)$ に対するグラム行列の $i$ 行 $j$ 列成分は
である。 $(1)$ が基底であることから、 $(2)$ のそれぞれを
と表す。 これらと内積の性質により、
$$ \tag{3} $$ が成り立つ。ここで $P$ は $P_{ki}$ を成分にする行列
であり、基底変換行列という。 $P$ は正則行列である (証明は「座標変換」を参考)。 また、$P^{T}$ は $P$ の転置行列である。 $(3)$ を成分を付けずに表すと、
であり、基底 $(1)$ に対するグラム行列と $(2)$ に対するグラム行列の関係を表している。
行列式
  $n$ 個のベクトル
$$ \tag{1} $$ に対するグラム行列行列式は、 $(1)$ が線形独立の場合には $0$ より大きく、 $(1)$ が線形従属の場合には $0$ に等しい、 すなわち、
が成り立つ。 これより、任意のグラム行列に対して
が成り立つ。
証明
$(1)$ が線形独立の場合
  $(1)$ を基底とするベクトル空間を $V$ とする。 また、$V$ の正規直交基底
$$ \tag{2} $$ と表す (例えば $(2)$ はグラムシュミットの直交化法によって $(1)$ から生成できる)。 $(1)$ に対するグラム行列を $G$ と表し、 $(2)$ に対するグラム行列を $G_{e}$ とする。 $(1)$ が基底であることから、 $(2)$ のそれぞれは、
と表せる。 この式はそれぞれの基底間の関係を表し、 $P_{ki}$ を $k$ 行 $i$ 列成分とする行列 $P$ は基底変換行列と呼ばれる。 $G$ は基底 $(1)$ に対するグラム行列 であり、 $G_{e}$ は別の基底 $(2)$ に対するグラム行列である。 したがって、 これらの間には、
の関係が成り立つ (「基底変換によるグラム行列の変換」を参考)。 また、$G_{e}$ は正規直交基底に対するグラム行列であるので単位行列である。 すなわち、
である。 これらと単位行列の行列式が $1$ であることを用いると、
が成り立つ。 三つ目の等号では積の行列式の性質を用いた。 また、四つ目の等号では転置行列の行列式の性質を用いた。 この式から、
をであることが分かる。
$(1)$ が線形従属の場合
  この場合、
を満たす全てが $0$ ではない数 $c_{1},c_{2},\cdots,c_{n}$ が存在する。 これより、
が成り立つ。 この式はグラム行列 $G$ を係数行列とする同次連立一次方程式であり、 自明な解ではない解 (全てが $0$ ではない $c_{1},c_{2},\cdots,c_{n}$ ) が存在することを表している (「自明な解でない解の存在」⇔「係数行列の行列式は $0$」を参考)。 したがって、係数行列の行列式は $0$ である 。 すなわち、
が成り立つ。
任意の場合
  以上から任意のグラム行列に対して
が成り立つ。