四面体の体積など

四面体
  $4$ つの三角形を各面に持つ多面体を四面体という。 三角錐とも呼ばれる。
四面体

基本的特徴
  • 頂点数 = 4
  • 辺の数 = 6
  • 面の数 = 4
  • 凸図形:
なお、全ての面が正三角形のとき、正四面体という。

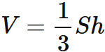
四面体の体積 ($\frac{1}{3}$ ×底面積×高さ)
  底面積が $S$、 高さが $h$ の四面体の体積 $V$ は、
四面体の体積=底面積×高さ
である。
証明
  問題を分かり易くするため、 四面体 $OABC$ の $O$ を原点に持ち、 三角形 $OAB$ を含む平面を $XY$ 平面に持つ座標系を用いる (下図)。
三角形 $OAB$ を底面と見なし、その面積を $S$ とする。 高さ $h$ は $XY$ 平面と点 $C$ との距離であり、 点 $C$ の $Z$ 座標の絶対値である。
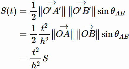
  $ \vec{OA} $ と $ \vec{OB} $ の成す角を $\theta_{AB}$ とすると、 $S$ の面積は、
$$ \tag{1} $$ である。 ここで $\| \cdot \| $ はベクトルの長さ(ノルム)を表す記号である。
  続いて、 平面 $z=t$ $(0 \leq t \leq h )$ と辺 $OC$ との交点を $O'$、 辺 $AC$ との交点を $A'$、 辺 $BC$ との交点を $B'$とする。
断面 $O' B' A'$ を成す各辺の長さは、
である。 したがって、 断面 $O' B' A'$ の面積 $S(t) $ は、
である。 四面体の体積 $V$ は断面積 $S(t)$ を $0$ から $h$ まで積分したものであるので、
を得る。

四面体の体積 (スカラー三重積)
  四面体 $OABC$ の体積 $V$ は、 各辺を成すベクトルからなるスカラー三重積の絶対値の $\frac{1}{6}$ 倍に等しい。 すなわち、
が成り立つ。 ここで $(\cdot, \cdot)$ は内積を表す記号である。
証明
  三角形 $OAB$ を四面体 $OABC$ の底面と見なすと、 底面積 $S$ は
である (三角形の面積を外積で表すを参考)。 ここで $\| \cdot \|$ はベクトルのノルムを表す記号である。
  三角形 $OAB$ を含む平面の法線ベクトルを $\mathbf{n}$ とする。 また、 $\mathbf{n}$ の向く方向に頂点 $C$ があるものとする(下図)。
$\mathbf{n}$ と $\vec{OC}$ の成す角を $\theta$ とすると、 四面体の高さ $h$ は、
である(上図を参考)。 底面積が $S$、高さが $h$ の四面体の体積 $V$ は $ V = \frac{1}{3} S h $ であるので (証明はこちら)、
$$ \tag{1} $$ である。
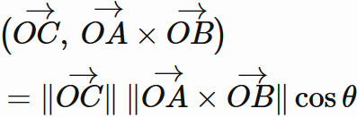
  ところで、 $ \mathbf{n} $ は $OAB$ を含む面と直交するので、 外積 $\vec{OA} \times \vec{OB}$ と平行なベクトルである (外積の直交性を参考)。 この外積は $\mathbf{n}$ と同じ向きを向くか、 反対の方向を向くかの二つの場合がある(下図)。
同じ向きの場合、 $\mathbf{n}$ と $\vec{OC}$ の成す角 $\theta$ と $\vec{OA} \times \vec{OB}$ と $\vec{OC}$ の成す角が等しいので、
が成り立つ (内積とコサインの関係を参考)。 反対の向きを向く場合、 $\vec{OA} \times \vec{OB}$ と $\vec{OC}$ の成す角 が $ \pi - \theta $ であるので、
が成り立つ。 したがって、いずれの場合にも、
が成り立つ。 これと $(1)$ から
を得る。 スカラー三重積の循環性を用いれば、
と表すこともできる。

四面体の体積 (行列式)
  四面体 $OABC$ の体積 $V$ は、 各辺ベクトルを列ベクトルに持つ行列式の絶対値の $\frac{1}{6}$ 倍に等しい。 すなわち、
が成り立つ。 ここで $ \det $は行列式を表す記号である。
証明
  四面体 $OABC$ の体積は 各辺ベクトルによるスカラー三重積の絶対値の $\frac{1}{6}$ 倍に等しい すなわち、
である (証明はこちら)。 一般にスカラー三重積は、 それを成す3つのベクトルを列ベクトルに持つ行列の行列式に等しい。 すなわち、
が成り立つ。 これらより、
を得る。



  それぞれのベクトルを成分によって
と表し、 $3\times 3$の行列式を各成分を用いて表すと、
である。
具体例 (体積)
  次の4点
から成る四面体の体積を求める。

計算例
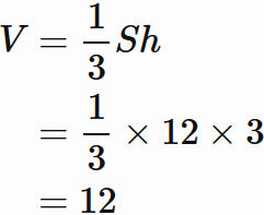
  初めに公式
を用いて、体積を求める。 三角形 $OAB$ を底面と見なすと、底面積 $S$ は、
である。高さは $h=3$ であるので、 四面体 $OABC$ の体積は、
である。
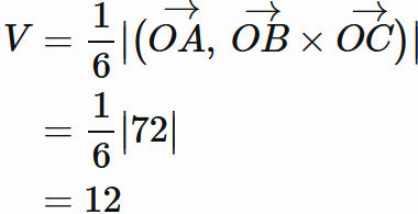
  続いて、 公式
を用いて求める。
であり、 外積の定義内積の定義から、
であるため、
を得る。
  続いて、
を用いて求める。 3x3 の行列式の定義から、
であるので、
を得る。

四面体の外接球
  四面体の $4$ 頂点に接する球を外接球という。 三角錐とも呼ばれる。
四面体の外接球の図
以下ではどんな四面体にも外接球が存在することを証明する。
証明
  四面体 $ABCD$ の辺 $AB$ の垂直二等分平面を $P_{AB}$ とする。$P_{AB}$ は $AB$ の中点 $M_{AB}$ を通り、 ベクトル $\overrightarrow{AB}$ を法線ベクトルとする平面である。 同じように 辺 $AC$ の垂直二等分平面を $P_{AC}$ とし、$AC$ の中点を $M_{AC}$ とする。 辺 $CD$ の垂直二等分平面を $P_{CD}$ とし、$AC$ の中点を $M_{CD}$ とする。 また、 $3$ 平面 $P_{AB}$, $P_{AC}$, $P_{CD}$ の交点を $O$ とする。
点 $O$ が外接球の中心になることを以下のように証明する。
  線分 $OM_{AB}$ は垂直二等分平面 $P_{AB}$ 上の線分であるので、 ベクトル $\overrightarrow{M_{AB}A}$ と直交する。 したがって、ピタゴラスの定理により、
が成り立つ。 ここで $\| \cdot \|$ は長さ(ノルム)である。 同じように、
が成り立つ。 $M_{AB}$ は中点 $AB$ の中点であるので、
が成り立つ。 以上から、
が成り立つ。 同様の考察から、
が成り立つこと分かる。 したがって、点 $A$,$B$,$C$,$D$ は点 $O$ から等距離にある点であるので、 一つの球上にある $4$ 点である。 すなわち、$4$ 点 $A$,$B$,$C$,$D$ を通る球 (四面体 $ABCD$ の外接球) が存在する。

外接球の中心 (外心)
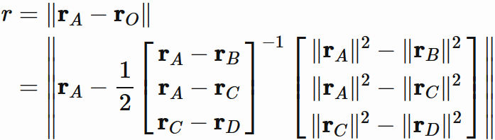
  四面体 $ABCD$ の外接球の中心の位置 $\mathbf{r}_{O}$ は
四面体の外接球の中心
ここで、$\mathbf{r}_{A} $, $\mathbf{r}_{B}$, $\mathbf{r}_{C}$, $\mathbf{r}_{D}$ はそれぞれ頂点 $A$, $B$, $C$, $D$ の位置ベクトルである。また $\| \cdot \|$ はベクトルの長さ(ノルム)を表す記号である。
四面体の外接球の中心の図

証明
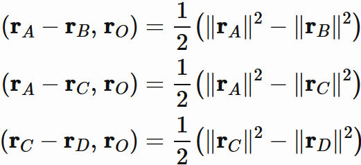
  上の議論から分かるように、 四面体 $ABCD$ の外接球の中心 $O$ は、 辺 $AB$ の垂直二等分平面 $P_{AB}$ と、 辺 $AC$ の垂直二等分平面 $P_{AC}$ と、 辺 $CD$ の垂直二等分平面 $P_{CD}$ の交点である。 したがって、 中心の位置 $\mathbf{r}_{O}$ は $3$ つ平面 $P_{AB}$ と $P_{AC}$ と $P_{CD}$ 上の点であるので、
四面体の外接球の中心
$$ \tag{1} $$ を満たす (垂直二等分平面の方程式を参考)。 また $(\cdot, \cdot)$ は内積を表す記号である。
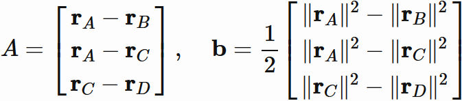
  $(1)$ は $3$ 変数の連立一次方程式を成す。 行列を用いて表すと、
$$ \tag{2} $$ である。ここで $3 \times 3$ の行列 $A$ とベクトル $\mathbf{b}$ を
と定義すると、$(2)$ は
と表される。 $A$ には逆行列 $A^{-1}$ が存在する (下記補足を参考)。 すなわち、
を満たす行列 $A^{-1}$ が存在する。 ここで $I$ は単位行列である。 これらを用いると以下のように外心の位置 $\mathbf{r}_{O}$ が求まる。
補足
  行列 $A$ に逆行列が存在することを示す。 $A$ の転置行列
の3つの列ベクトル は線形独立なベクトルである。 なぜなら、これらの $3$ つのベクトルは四面体の辺を成すベクトルであるため、 同一平面上にない。 したがって、 どれか一つを他の二つの線形結合によって表すことができない。 たとえば、
とする $\alpha$ と $\beta$ は存在しない (もし存在すれば線形従属なベクトル)。
  $A^{T}$ は列ベクトルは互いに線形独立なであるので、 逆行列が存在する (「列ベクトルが線形独立⇒正則行列」を参考)。 $A$ は $A^{T}$ の転置行列であるので、 $A$ にも逆行列が存在する (「転置行列の逆行列」を参考)。

外接球の半径
  四面体 $ABCD$ の外接球の半径 $r$ は
である。 ここで、$\mathbf{r}_{A} $, $\mathbf{r}_{B}$, $\mathbf{r}_{C}$, $\mathbf{r}_{D}$ はそれぞれ点 $A$, $B$, $C$, $D$ の位置ベクトルである。また $\| \cdot \|$ はベクトルの長さ(ノルム)を表す記号である。
証明
  上の議論によると、 四面体 $ABCD$ の外接球の中心位置 $\mathbf{r}_{O}$ は、
である。 四面体の外接球の半径は中心位置から各頂点までの距離である。 そこで頂点 $A$ から 点 $O$ の間の距離を求めると、
を得る。