行列のスペクトル分解を解説   ~証明と具体例~

目次
- 証明
- 具体例:
スペクトル分解 (証明)
  正規行列 $A$ は固有値 $\overline{\lambda}_{i}$ の固有空間 $E_{\overline{\lambda}_{i}}$ 上への射影行列 $P_{\overline{\lambda}_{i}}$ によって、
行列のスペクトル分解
と表すことができる。 ここで、$r$ は値の異なる固有値の数である。 これを行列のスペクトル分解と呼ぶ。
証明
  $A$ を $n$ 次正規行列とし、 固有値 $\lambda$ の固有ベクトルを $ \mathbf{a} $ と表す。 すなわち、
ああ
$$ \tag{1} $$ とする。 ここで、
ああ
$$ \tag{2} $$ である。   $(1)$ は、
ああ
$$ \tag{3} $$ と表せる。 $(3)$ は同次連立一次方程式である。 一般に同次連立一次方程式の解が自明な解以外の解(0でない解)を持つことと、 係数行列の行列式が0であることは同値であるので、 $(3)$ が $(2)$ を満たす解を持つことと、 $(3) の$係数行列の行列式が $0$ であることが同値である。 すなわち、
ああ
が成立する。 下の式は固有方程式と呼ばれる。
  固有方程式は $\lambda$ に関する $n$ 次方程式であるので、 代数学の基本定理によって、 必ず $n$ 個の解が存在する。 それらを
$$ \tag{4} $$ と表すことにする。 いま、この中に値の異なる解が $r$ 種類だけあるとし、 それらを
$$ \tag{5} $$ と表す。 また、 $(4)$ の中に $(5)$ のそれぞれが $m_{1}, m_{2}, \cdots, m_{r}$ 個ずつ含まれるとする。 すなわち、
あるとする。 $m_{1}, m_{2}, \cdots, m_{r}$ の合計数は解の総数 $n$ に等しくなくてはならないので、
$$ \tag{6} $$ が成立する。 それぞれの $m_{i}$ は解の $\overline{\lambda}_{i}$ の重複度と呼ばれる。
  ところで、 正規行列は対角化可能な行列であり、 対角化可能な行列は、 各固有値の重複度とその固有空間の次元が等しいことが知られている。 したがって、 固有値 $\overline{\lambda}_{i}$ の固有空間 $E_{\overline{\lambda}_{i}}$ の次元を $d_{i}$ と表すと、
が成立し、 これと $(6)$ から、
$$ \tag{7} $$ が成立する。 よって、 固有空間の次元の総和は、 行列の作用するベクトル空間 ($V$とする) の次元 $n$ に等しい。
  固有空間 $E_{\overline{\lambda}_{i}}$ の次元が $d_{i}$ であるので、 $E_{\overline{\lambda}_{i}}$ の正規直交基底は $d_{i}$ 個のベクトルから成る。 それを
と表すと、 正規直交基底であることから、
$$ \tag{8} $$ が成立する。 ここで、 $k, l = 1,2,\cdots, d_{i}$ であり、 $\delta_{kl}$ はクロネッカーのデルタである。 また $(\cdot, \cdot)$ は内積を表す記号である。
  この正規直交基底を全ての固有値に渡って並べると、
$$ \tag{9} $$ である。 これらを全て数え上げると、 $ d_{1}+ d_{2} + \cdots + d_{r} $ 個になるが、 $(7)$ より、 その数は $n$ に等しいことが分かる。 よって、 $(9)$ は各固有空間内で直交する総数 $n$ のベクトルである。
  ところで、 正規行列の固有値の異なる固有空間は互いに直交するので、 $(9)$ の中の固有値の異なるベクトル同士は、 直交する。 すなわち、$i \neq j$ の場合、どんな $k, l$ に対しても、
$$ \tag{10} $$ が成立する。
  $(8)$ と $(10)$ は、 $(9)$ に含まれるベクトルのどれとどれをとっても直交することを表している。 また $(9)$ の総数は $n$ であることから、次の結論を得る。 すなわち、 $(9)$ はベクトル空間 $V$ の正規直交基底を成す。
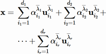
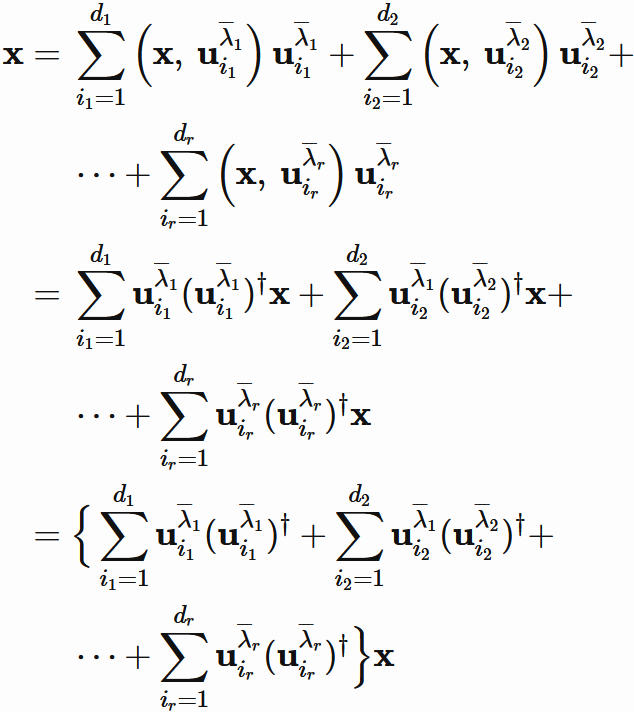
  従って、$V$ の任意のベクトル $\mathbf{x}$ は、 $(9)$ を構成するベクトルの線形結合によって
$$ \tag{11} $$ と表すことができる。 各係数は、 $(9)$ が正規直交基底を成すことから次のように求められる。 すなわち、
$$ \tag{12} $$ と求められる。 ここで、 2行目を求めるときには、異なる固有値の固有ベクトルが直交すること $(10)$ を用いた。 また、4行目を求めるときには、 $(8)$ を用いた。
  $(12)$ を $(11)$ に代入すると、
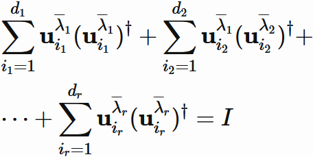
と表される。 この式が任意の $\mathbf{x}$ に対して成立することから、 $\{ \cdots \}$ の部分は単位行列である。 すなわち、
$$ \tag{13} $$ が成立する (正方行列が等しいための条件を参考)。
  ここで、行列 $P_{\overline{\lambda}_{k}}$ を
と定義すると、 $(13)$ は、
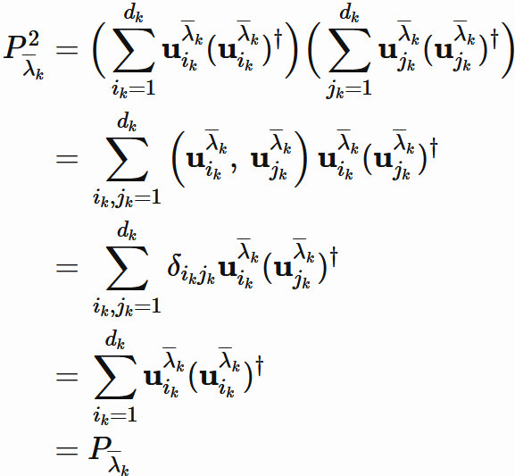
$$ \tag{14} $$ と表される。 それぞれの $ P_{\overline{\lambda}_{k}}$ は $(9)$ が正規直交基底を成すことから、
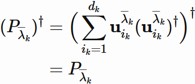
を満たし、 さらに、
を満たすので、 $P_{\overline{\lambda}_{k}}$ は 射影行列である。 ここで随伴行列の性質を用いた。 また、 任意のベクトル $\mathbf{x}$ に $ P_{\overline{\lambda}_{k}}$ を掛けたベクトルが
となり、 固有空間 $E_{\overline{\lambda}_{k}}$ の基底の線形結合で表される。 したがって $P_{\overline{\lambda}_{k}} \mathbf{x}$ は 固有空間 $E_{\overline{\lambda}_{k}}$ に属する。 すなわち、
である。 このことは、 $P_{\overline{\lambda}_{k}}$ が任意のベクトルを固有空間 $E_{\overline{\lambda}_{k}}$ のベクトルに変換する射影行列であることを表している。 よって、 $P_{\overline{\lambda}_{k}} \mathbf{x}$ に $A$ を掛けると、
となる。 これと $(14)$ を用いて、 任意のベクトル $\mathbf{x}$ に $A$ を掛けたベクトル $A\mathbf{x}$ を表すと、
となる。 $\mathbf{x}$ が任意のベクトルであるので、 ここから
が成立することが分かる。
  したがって、 正規行列 $A$ は $A$ の各固有値とその固有空間上への射影行列の積の線形結合によって表すことができる。 これを行列のスペクトル分解と呼ぶ。

スペクトル分解 (例題)
  行列
スペクトル分解せよ。
解答例
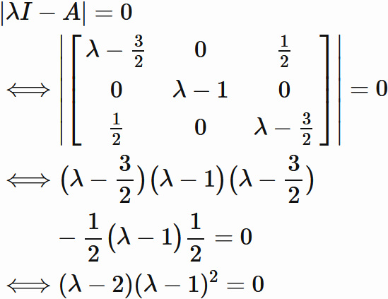
  はじめに $A$ の固有値を求める。 固有値を $\lambda$ とすると、 固有方程式は、
であるので、 固有値は
である。
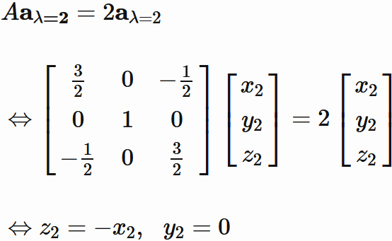
$\lambda = 2$ の場合
  固有ベクトルを
とすると、
であるので、 固有ベクトルは
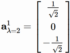
である。 したがって、固有値 $2$ の固有空間は $1$ 次元であり、 この固有空間の 規格化された正規直交基底は、
である。また、 この固有空間に射影する射影行列 $P_{\lambda=2}$ は、
である。
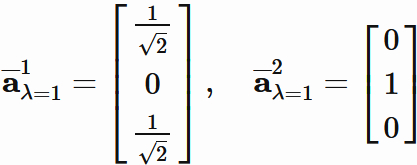
$\lambda = 1$ の場合
  このとき、固有ベクトルを
とすると、
であるので、 固有ベクトルは
と表せる。 したがって、固有値 $1$ の固有空間は $2$ 次元であり、 この固有空間の規格化された正規直交基底は、
である。 また、 この固有空間に射影する射影行列 $P_{\lambda=1}$ は、
である。
まとめ
  以上のように行列 $A$ の固有値と固有空間への射影行列が求められたので、 $A$ のスペクトル分解は、
と表される。 この式が成り立つことは、成分によって、
と表すと明らかである。